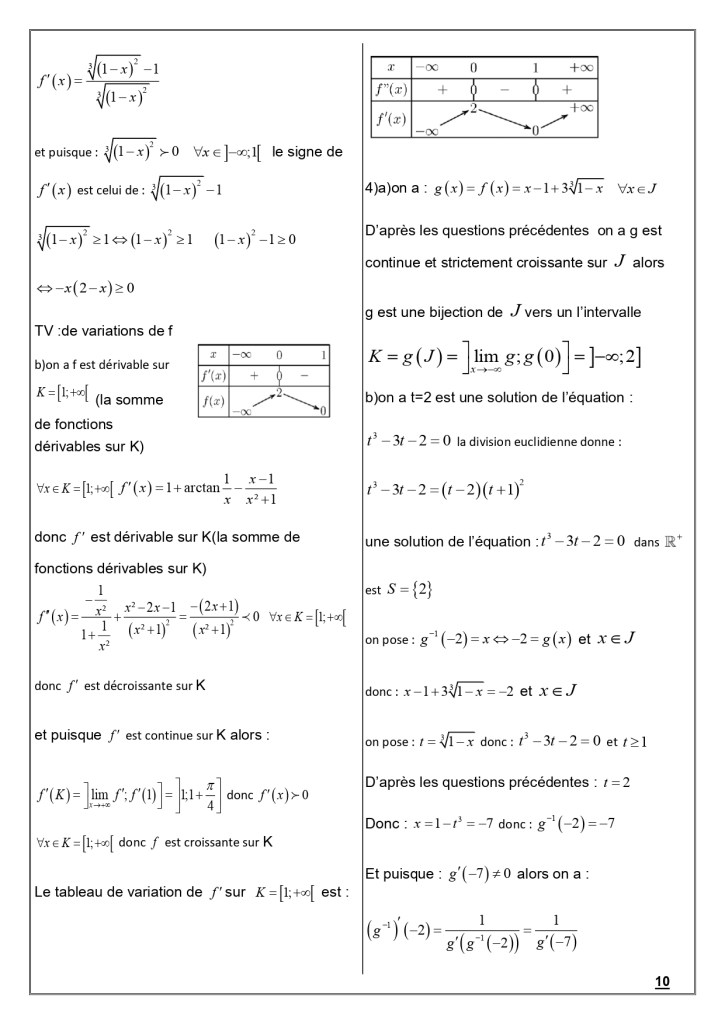
Fonctions numériques (Généralités)

Laisser un commentaire