FONDAMENTAUX DES BILANS ÉNERGÉTIQUES ET DE L’UTILISATION DE L’ÉNERGIE
Objectifs d’enseignement clés
& Comment utiliser les bilans énergétiques
& Comment calculer la puissance consommée lors de la compression d’un gaz
& Méthodes utilisées pour récupérer la chaleur résiduelle d’un procédé
& Comment utiliser la méthode de conception par pincement (ou la méthode pinch) pour optimiser la récupération de chaleur d’un procédé
Contenu:
3.1. Introduction
3.2. Conservation d’énergie
3.3. Formes d’énergie (par unité de masse de matériau)
3.4. Le bilan énergétique
3.5. Calcul de l’enthalpie spécifique
3.6. Capacités thermiques moyennes
3.7. L’effet de la pression sur la capacité thermique
3.8. Enthalpie des mélanges
3.9. Diagrammes d’enthalpie-concentration
3.10. Chaleur de réaction
3.11. Chaleur standard de formation
3.12. Chaleur de combustion
3.13. Compression et expansion des gaz
3.14. Calculs de bilans énergétiques
3.15. Bilans énergétiques à l’état non stationnaire.
3.16. Récupération d’énergie
3.17. Réseaux d’échangeurs de chaleur
INTRODUCTION
Comme pour la masse, l’énergie peut être considérée comme conservée séparément dans tous les procédés sauf nucléaires.
La conservation de l’énergie diffère de celle de la masse en ce que l’énergie peut être générée (ou consommée) dans un procédé chimique. Le matériau peut changer de forme, de nouvelles espèces moléculaires peuvent être formées par réaction chimique, mais le débit massique total entrant dans une unité de traitement doit être égal au débit sortant à l’état stationnaire. Il en va de même pour l’énergie, mais pas pour l’enthalpie fluviale (des flux). L’enthalpie totale des flux de sortie ne sera pas égale à celle des flux d’entrée si de l’énergie est générée ou consommée dans le procédé; comme celle dûe à la chaleur de réaction. L’énergie peut exister sous plusieurs formes, notamment l’énergie chimique, la chaleur, l’énergie mécanique et l’énergie électrique. L’énergie totale est conservée, mais l’énergie peut être transformée d’un type d’énergie à un autre.
Dans la conception de procédés, des bilans énergétiques sont effectués pour déterminer les besoins énergétiques du procédé: le chauffage, le refroidissement et la puissance requis. En fonctionnement de l’unité industrielle, un bilan énergétique (audit énergétique) de l’unité montrera le modèle d’utilisation de l’énergie et suggérera des domaines (ou possibilités) de conservation et d’économies.
La plupart des bilans énergétiques sont réalisés à l’aide d’un logiciel de simulation de procédé, mais les ingénieurs concepteurs doivent parfois intégrer des bilans énergétiques dans des modèles de tableurs ou d’autres programmes informatiques. Il est donc important pour l’ingénieur concepteur d’avoir une bonne compréhension des principes de base des bilans énergétiques. Dans ce chapitre, les principes fondamentaux des bilans énergétiques sont brièvement passés en revue et des exemples sont donnés pour illustrer l’utilisation des bilans énergétiques dans la conception de procédé. Les méthodes utilisées pour la récupération et la conservation de l’énergie des procédés sont également discutées.
Des informations plus détaillées sur les principes et les applications des bilans énergétiques sont données dans les textes de calcul des bilans matières et énergétiques cités à la fin du chapitre 2 (bilan matière, point à vérifier).
3.2.CONSERVATION D’ÉNERGIE
Comme pour le bilan de masse (section 2.3), une équation générale peut être écrite pour la conservation de l’énergie:
Énergie sortante = énergie entrante + production – consommation – accumulation
Ceci est un énoncé de la première loi de la thermodynamique.
Un bilan énergétique peut être écrit pour n’importe quelle étape du procédé(sous système, opération unitaire).
La réaction chimique ferait évoluer de l’énergie (exothermique) ou consommera de l’énergie (endothermique).
Pour les procédés en régime permanent, l’accumulation de masse et d’énergie est nulle.
L’énergie peut exister sous de nombreuses formes et cela, dans une certaine mesure, rend un bilan énergétique plus complexe qu’un bilan matière.
3.3. Formes d’énergie (par unité de masse de la matière)
3.3.1.Énergie potentielle
Énergie due à la position:
Énergie potentielle par unité de masse = g.z (3: 1)
où
z: hauteur au-dessus d’une donnée arbitraire, m;
g: accélération gravitationnelle (9,81 m / s2).
3.3.2. Énergie cinétique
Énergie due au mouvement:
Énergie cinétique par unité de masse = u2 / 2 (3: 2)
où u: vitesse, m / s.
3.3.3.Énergie interne
L’énergie associée au mouvement moléculaire. La température T d’un matériau est une mesure de son énergie interne U:
U = f (T) (3: 3)
3.3.4.Travail
Le travail est effectué lorsqu’une force agit le long d’une distance:

(3: 4)
où:
F: force (N);
x et l: distance (m).
Le travail effectué sur un système par son environnement est traditionnellement considéré comme négatif;
le travail effectué par le système sur l’environnement, comme positif.
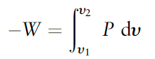
Lorsque le travail résulte d’un changement de pression ou de volume:

(3: 5)
où:
P: pression, Pa (N / m2),
v : volume par unité de masse, m3 / kg.
Pour intégrer cette fonction, la relation entre la pression et le volume doit être connue. Dans la conception de procédé, une estimation du travail effectué pour la compression ou l’expansion d’un gaz est souvent nécessaire. Une estimation approximative peut être faite en supposant une expansion adiabatique réversible (isentropique) ou isotherme, selon la nature du procédé.
Pour l’expansion isotherme (expansion à température constante):

Pour une expansion adiabatique réversible (pas d’échange thermique avec l’environnement):

où :

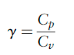
= rapport des chaleurs spécifiques, Cp / Cv.
La compression et la détente des gaz sont traitées plus en détail dans la section 3.13 ( en bas).
3.3.5. Chaleur
L’énergie est transférée sous forme de chaleur ou de travail. Un système ne contient pas de «chaleur», mais le transfert de chaleur ou de travail vers un système modifie son énergie interne.
La chaleur absorbée par un système à partir de son environnement est par convention considérée comme positive; celle étant cédée, comme négative.
3.3.6. Énergie électrique
Les formes d’énergie électrique et mécanique sont prises en compte dans le terme concernant le travail transféré dans un bilan énergétique. L’énergie électrique ne sera significative que dans les bilans énergétiques des procédés électrochimiques.
3.4. LE BILAN ÉNERGÉTIQUE
Considérons un procédé en régime permanent représenté par la figure 3.1. L’équation de conservation de l’énergie peut être écrite pour inclure les différentes formes d’énergie.
Pour une masse unitaire de matière, on a :

Les suffixes 1 et 2 représentent respectivement les points d’entrée et de sortie. Q est la chaleur transférée à travers la limite du système: positive pour la chaleur entrant dans le système, négative pour la chaleur quittant le système. W est le travail effectué par le système: positif pour le travail allant du système vers l’environnement et négatif pour le travail entrant dans le système depuis l’environnement.
L’équation 3.6 est une équation générale pour les systèmes en régime permanent avec écoulement.
Dans les procédés chimiques, les termes d’énergie cinétique et potentielle sont généralement petits par rapport aux termes de chaleur et de travail, et peuvent normalement être négligés.
Il est pratique et utile de prendre les termes U et P.V ensemble, définissant l’enthalpie du flux, généralement donné le symbole H, comme
H = U + P.V
L’enthalpie est fonction de la température et de la pression. Les valeurs des substances les plus courantes ont été déterminées expérimentalement et sont données dans les différents manuels (voir chapitre 8 (en bas)). L’enthalpie peut être calculée à partir de données de chaleur spécifiques et latentes; voir la section 3.5 (en bas)).
Si les termes d’énergie cinétique et potentielle sont négligés, l’équation 3.6 se simplifie en: H2 – H1 = Q – W (3.7)
Cette équation simplifiée est généralement suffisante pour estimer les besoins en chauffage et en refroidissement des différentes opérations unitaires impliquées dans les procédés chimiques.
Comme les termes dépendant du flux ont été supprimés, l’équation simplifiée est applicable à la fois aux systèmes statiques (sans flux) et aux systèmes siège d’écoulements. Il peut être utilisé pour estimer les besoins énergétiques des procédés par lots.
Pour de nombreux procédés, le terme de travail sera nul ou négligeable, et l’équation 3.7 se réduit à la simple équation du bilan thermique:
Q = H2 – H1 (3.8)
Quand la chaleur est générée dans le système; par exemple, dans un réacteur chimique:
Q = Qp + Qs (3.9)
Qs: chaleur générée dans le système. Si de la chaleur est dégagée (processus exothermiques), Qs est considéré comme positif, et si la chaleur est absorbée (processus endothermiques), il est considéré comme négatif.
Qp = chaleur de procédé ajoutée au système pour maintenir la température requise du système.
D’où:
Qp = H2 – H1 – Qs (3.10)
H1: enthalpie du flux d’entrée;
H2: enthalpie du flux de sortie.
Exemple 3.1
Bilan sans réaction chimique. Estimez la vapeur et l’eau de refroidissement nécessaires pour la colonne de distillation représentée sur la figure.
La vapeur est disponible à 25 psig (274 kN / m2 abs), sèche saturée.
L’élévation de la température de l’eau de refroidissement est limitée à 30°C.
La colonne fonctionne à 1 bar.

Solution:
Bilan matière
Il est nécessaire de faire un bilan matière pour déterminer les débits de produit haut et bas.
Équilibre sur l’acétone, perte d’acétone dans les résidus négligée.
- 0,1 = D. 0,99
Distillat, D = 101 kg / h
Bas, B = 1000-101 = 899 kg / h
Bilan énergétique
L’énergie cinétique et potentielle des flux de processus seraient faibles et peuvent être négligées.
Prenez la première limite du système pour inclure le rebouilleur et le condenseur.

Entrées: apport de chaleur du rebouilleur QB + alimentation en chaleur sensible HF.
Sorties: Refroidissement du condenseur QC + chaleur sensible du produit haut et bas HD + HB.
Les pertes de chaleur du système seront faibles si la colonne et les échangeurs sont correctement calés (calorifugés) (généralement moins de 5%) et seront négligées.
Base 25° C, 1 h.
Données de capacité thermique, valeurs moyennes.
Acétone: 25 ° C à 35 ° C 2,2 kJ / kg K
L’eau: 25 ° C à 100° C 4,2 kJ / kg K
Les capacités thermiques peuvent être additionnées.
Alimentation, 10% d’acétone = 0,1 . 2,2 + 0,9 . 4,2 = 4,00 kJ / kg K
Distillat, 99% acétone, pris sous forme d’acétone, 2,2 kJ / kg K
Fond, pris comme eau, 4,2 kJ / kg K.
Le QC doit être déterminé en prenant une balance autour du condenseur.

Taux de reflux (voir chapitre 11):

À partir des données d’équilibre vapeur-liquide:
Point d’ébullition de 99% acétone / eau = 56,5° C
À l’état stationnaire:
entrée = sortie

D’où :

Supposons une condensation complète.
Enthalpie de vapeur HV = chaleur latente + sensible:
Il existe deux manières de calculer l’enthalpie spécifique de la vapeur à son point d’ébullition:
Chaleur latente de vaporisation à la température de base + chaleur sensible pour porter la vapeur au point d’ébullition.
Chaleur latente de vaporisation au point d’ébullition + chaleur sensible pour porter le liquide au point d’ébullition.
Les valeurs de la chaleur latente de l’acétone et de l’eau en fonction de la température sont données dans Coulson et al. (1999), la deuxième méthode sera donc utilisée.
Acétone de chaleur latente à 56,5 ° C (330 K) = 620 kJ / kg
Eau à 56,5 ° C (330 K) = 2500 kJ / kg
Prenons les chaleurs latentes comme additives:

L’enthalpie du produit de tête et celle du reflux sont nulles, car ils sont tous deux à la température de base. Les deux sont liquides, et le reflux sera à la même température que le produit,
d’où: QC = HV = 786 699 kJ/ h (218,5 kW)
QB est déterminée à partir d’un bilan sur l’ensemble du système
entrée = sortie

(point d’ébullition du produit de fond pris comme 100°C).
Par conséquent:

QB est alimentée par condensation de vapeur.
Chaleur latente de la vapeur = 2174 kJ/kg à 274 kN/m2
Vapeur requise = 1 029 884/ 2174 = 473,7 kg /h
QC est éliminée en refroidissant l’eau avec une élévation de température de 30°C
QC = débit d’eau . 30 . 4,2
Débit d’eau = 786,699 / 4,2 . 30
= 6244 kg /h
3.5. CALCUL DE L’ENTHALPIE SPÉCIFIQUE
Les valeurs d’enthalpie tabulées ne sont disponibles que pour les matériaux les plus courants. En l’absence de données publiées, les expressions suivantes peuvent être utilisées pour estimer l’enthalpie spécifique (enthalpie par unité de masse).
Pour les matériaux purs, sans changement de phase:

où
HT: enthalpie spécifique à la température T;
Cp: capacité thermique spécifique du matériau, pression constante;
Td: la température de référence.
Si une transition de phase a lieu entre les températures spécifiées et de référence, la chaleur latente de la transition de phase est ajoutée au changement de chaleur sensible calculé par l’équation 3.11. Le calcul de la chaleur sensible est ensuite divisé en deux parties:

où:
Tp: température de transition de phase;
Cp1: capacité thermique spécifique de la première phase, inférieure à Tp;
Cp2: capacité thermique spécifique de la deuxième phase, au-dessus de Tp;
DHP: la chaleur latente du changement de phase.
La chaleur spécifique à pression constante variera avec la température, et pour utiliser les équations 3.11 et 3.12, les valeurs de Cp doivent être disponibles en fonction de la température.
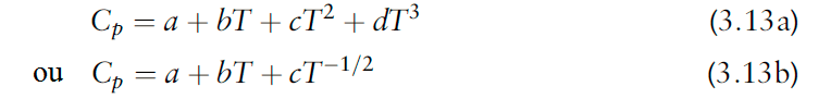
Pour les solides et les gaz, Cp est généralement exprimée sous la forme d’une équation empirique en série de puissances:

Des échelles de température absolue (K) ou relative (° C) devraient être spécifiées lorsque la relation est sous la forme donnée dans l’équation 3.13a. Pour l’équation 3.13b, des températures absolues doivent être utilisées.
Exemple 3.2
Estimer l’enthalpie spécifique de l’alcool éthylique à 1 bar et 200°C, en prenant la température de référence à 0°C.
Cp liquide 0°C 24,65 cal / mol°C
100°C 37,96 cal / mol°C

Point d’ébullition de l’alcool éthylique à 1 bar = 78,4°C.
Chaleur latente de vaporisation = 9,22 kcal / mol.
Solution
Remarque: Les données issues de la littérature étant données en cal / mol, le calcul est effectué dans ces unités et le résultat converti en unités SI.
Comme aucune donnée n’est donnée sur la variation exacte du Cp du liquide avec la température, utiliser une équation de la forme Cp = a + b.t, en calculant a et b à partir des données fournies; ce sera suffisamment précis sur la plage de température requise.

Enthalpie spécifique = 58,31 kJ/mol.
Masse molaire de l’alcool éthylique, C2 H5 OH = 46
Enthalpie spécifique = 58,31 . 10^3 / 46 = 1268 kJ /kg
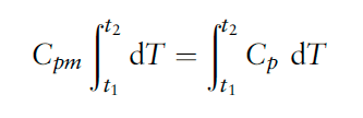
3.6. CAPACITÉS DE CHALEUR MOYENNES
L’utilisation de capacités calorifiques moyennes facilite souvent le calcul de la chaleur sensible changements; capacité thermique moyenne sur la plage de température t 1 à t 2 est défini par l’équation suivante:

Les valeurs thermiques spécifiques moyennes sont présentées dans divers manuels. Si les valeurs sont pour masse unitaire, calculée à partir d’une température de référence standard tr, puis le changement d’enthalpie entre les températures t1 et t2 est donné par

où tr est la température de référence à partir de laquelle les valeurs de Cpm ont été calculés.
Si Cp s’exprime sous la forme d’un polynôme de la forme Cp = a + b.t + c.t^2 + d.t^3, alors la forme intégrée de l’équation 3.14 sera

où t est la température à laquelle Cpm est requise.
Si la température de référence est prise à 0 °C, l’équation 3.16 se réduit à:

et le changement d’enthalpie de t1 à t2 devient

L’utilisation des capacités calorifiques moyennes est illustrée dans l’exemple 3.3.
Exemple 3.3
Le gaz sortant d’une chambre de combustion a la composition suivante: CO2 7,8, CO 0,6, O2 3,4, H2O 15,6, N2 72,6, tous les pourcentages sont en volume. Calculez la chaleur évacuée si le gaz est refroidi à partir de 800°C à 200°C.
Solution:
Les capacités calorifiques moyennes des gaz de combustion sont facilement disponibles dans les manuels et les textes sur les bilans thermique et matière.
Les valeurs suivantes sont tirées de K. A. Kobe, Thermochemistry of Petrochemicals, reprint No. 44, Pet. Ref. 1958; converties en unités SI, J/mol°C, température de référence 0°C.

Chaleur extraite du gaz en refroidissement à partir de 800 °C à 200 °C, pour chaque composant

où Mc = moles de ce composant.

3.7
3.7. L’EFFET DE LA PRESSION SUR LA CAPACITÉ CALORIFIQUE
Les données sur les capacités thermiques données dans les manuels et dans l’annexe A concernent généralement l’état de gaz parfait. L’équation 3.13a doit être écrite comme suit:

où l’exposant ° fait référence à l’état de gaz parfait.
Les valeurs de gaz parfaits peuvent être utilisées pour les gaz réels à basse pression. A des pressions élevées, l’effet de la pression sur la chaleur spécifique peut être appréciable.
Edmister (1948) a publié un graphique généralisé montrant la correction de pression isotherme pour les gaz réels en fonction de la pression et de la température réduites. Son graphique, converti en unités SI, est illustré à la figure 3.2. Le graphique d’Edmister était basé sur les hydrocarbures mais
peut être utilisé pour d’autres matériaux pour donner une indication de l’erreur probable si les valeurs thermiques spécifiques du gaz parfait sont utilisées sans corrections.
La méthode est illustrée dans l’exemple 3.4.
Exemple 3.4
La capacité thermique à l’état idéal de l’éthylène est donnée par l’équation:

Estimez la valeur à 10 bar et 300K.
Solution
Éthylène:
pression critique 50.5 bar
température critique 283K

D’après la figure 3.2:

L’erreur de Cp si la valeur du gaz parfait était utilisée non corrigée serait d’environ 10%. Cela conduirait clairement à de grandes erreurs dans la prévision des fonctions (ou objectifs) des échangeurs de chaleur.

3.8. ENTHALPIE DES MÉLANGES
Pour les gaz, les chaleurs de mélange sont généralement négligeables, et les capacités thermiques et les enthalpies peuvent être prises comme additives sans introduire d’erreur significative dans les calculs de conception, comme cela a été fait dans l’exemple 3.3.

où Xa, Xb, Xc, etc., sont les fractions molaires des composants a, b, c ( ou fractions pondérales si la chaleur spécifique par unité de masse est utilisée).
Pour les mélanges de liquides et pour les solutions, la chaleur de mélange (chaleur de la solution) peut être importante et doit donc être incluse dans le calcul de l’enthalpie du mélange.
Pour les mélanges binaires, l’enthalpie spécifique du mélange à température t est donné par

où Ha et Hb,t sont les enthalpies spécifiques des composants a et b et DHm,t est la chaleur de mélange quand 1mol de solution est formée, à température t.
Les chaleurs de mélange et les chaleurs de solution sont déterminées expérimentalement et sont disponibles dans les manuels pour les solutions les plus couramment utilisées. Si aucune valeur n’est disponible, le jugement doit être utilisé pour décider si la chaleur de mélange pour le système est susceptible d’être significative.
Pour les mélanges d’hydrocarbures, la chaleur de mélange est généralement faible par rapport aux autres quantités de chaleur et peut généralement être négligée lors de la réalisation d’un bilan thermique pour déterminer les besoins de chauffage ou de refroidissement du procédé. Les chaleurs de solution des composés organiques et inorganiques dans l’eau peuvent être importantes, en particulier pour les acides minéraux forts et les alcalis.
3.8.1. Chaleur intégrale d’une solution
Les chaleurs de la solution dépendent de la concentration. La chaleur intégrale de la solution à une concentration donnée est la chaleur cumulative libérée ou absorbée lors de la préparation de la solution à partir de solvant pur et de soluté. La chaleur intégrale de la solution à dilution infinie est appelée la chaleur intégrale standard de la solution.
Des tableaux de la chaleur intégrale de la solution sur une plage de concentration et des graphiques de la chaleur intégrale de la solution en fonction de la concentration sont donnés dans les manuels pour de nombreux matériaux pour lesquels la chaleur de la solution est susceptible d’être significative dans les calculs de conception de processus.
La chaleur intégrale de la solution peut être utilisée pour calculer le chauffage ou le refroidissement requis dans la préparation de solutions, comme illustré dans l’exemple 3.5.
Exemple 3.5
Une solution de NaOH dans l’eau est préparée en diluant une solution concentrée dans un récipient agité à double enveloppe. La force de la solution concentrée est de 50% p/p, et 2500 kg de solution à 5% p/p sont nécessaires par lot. Calculez la chaleur évacuée par l’eau de refroidissement si la solution doit être évacuée à une température de 25°C. La température des solutions introduites dans le récipient peut être prise à 25°C.
Solution:
Chaleur intégrale de la solution de NaOH-H2O, à 25 °C

Conversion du pourcentage en poids en mol / mol:

À partir d’un graphique des chaleurs intégrales de la solution en fonction de la concentration:

Chaleur libérée dans la dilution par mole de NaOH = 42,9 – 27,0 = 15,9 kJ
Chaleur dégagée par batch = moles NaOH par batch . 15,9

Chaleur transférée à l’eau de refroidissement, en négligeant les pertes de chaleur, 49,7MJ par lot
Dans l’exemple 3.5, la température des alimentations et de la solution finale a été prise comme la même que la température standard pour la chaleur de la solution, 25 °C, pour simplifier le calcul. Les chaleurs de solution sont analogues aux chaleurs de réaction, et des exemples de bilans thermiques
sur des procédés où les températures sont différentes de la température standard sont donnés dans la discussion des chaleurs de réaction, section 3.10.
3.9. DIAGRAMMES DE CONCENTRATION – ENTHALPIE
La variation d’enthalpie pour les mélanges binaires est commodément représentée sur un diagramme. Un exemple est illustré à la figure 3.3. Le diagramme montre l’enthalpie des mélanges d’ammoniac et d’eau en fonction de la concentration, avec pression et température comme paramètres. Il couvre les changements de phase de solide à liquide à vapeur, et les valeurs d’enthalpie données incluent les chaleurs latentes pour les transitions de phase.
L’enthalpie est par kg du mélange (ammoniac + eau)
États de référence: Enthalpie ammoniac à 77 °C = zéro
Enthalpie de l’eau à 0 8 C = zéro

Les diagrammes d’enthalpie-concentration facilitent grandement le calcul des bilans énergétiques impliquant des changements de concentration et de phase; ceci est illustré dans l’exemple 3.6.
Exemple 3.6
Calculez la température maximale atteinte lorsque l’ammoniac liquide à 40°C est dissous dans l’eau à 20°C pour former une solution à 10%.
Solution
La température maximale se produira s’il n’y a pas de pertes de chaleur (procédé adiabatique).
Comme aucune chaleur ou matière n’est éliminée, le problème peut être résolu graphiquement dans le diagramme de concentration enthalpique (Figure 3.3). L’opération de mélange est représentée sur le diagramme en joignant le point A représentant l’ammoniac pur à 40°C avec le point B représentant l’eau pure à 20°C. Les mélanges de cette concentration se trouvent sur une ligne verticale à la concentration requise, 0,1. La température du mélange est donnée par l’intersection de cette ligne verticale avec la ligne AB. Cette méthode est une application de la «règle du levier» pour les diagrammes de phase. Pour une explication plus détaillée de la méthode et d’autres exemples, voir Himmelblau (1995) ou l’un des textes généraux sur les bilans matières et énergétiques énumérés à la fin du chapitre 2. La méthode graphique Ponchon-Savarit utilisée dans la conception des colonnes de distillation est un autre exemple de l’application de la règle du levier et de l’utilisation de diagrammes enthalpie-concentration.

Les diagrammes d’enthalpie-concentration sont pratiques pour les mélanges binaires avec des chaleurs de mélange élevées. Ils sont largement utilisés dans l’industrie des engrais et dans d’autres industries concernées par la fabrication d’acides et de bases inorganiques.
3.10. CHALEURS DE RÉACTION
Si un processus implique une réaction chimique, de la chaleur devra normalement être ajoutée ou éliminée. La quantité de chaleur dégagée lors d’une réaction chimique dépend des conditions dans lesquelles la réaction est effectuée. La chaleur de réaction standard est la chaleur dégagée lorsque la réaction est effectuée dans des conditions standard: composants purs, pression 1 atm (1,01325 bar) et température généralement, mais pas nécessairement, 25 °C.
Les valeurs des chaleurs standard des réactions sont données dans la littérature ou peuvent être calculées par les méthodes indiquées dans les sections 3.11 et 3.12.
Lorsque des chaleurs de réaction sont citées, la base doit être clairement énoncée. Soit vous donnez l’équation chimique – par exemple,

(L’équation implique que la quantité de réactifs et de produits est en moles)
Ou indiquez à quelle quantité la valeur indiquée s’applique:

La réaction est exothermique et le changement d’enthalpie DHr est donc négatif. La chaleur de réaction DHr est positif. L’exposant ° désigne une valeur à la norme conditions et l’indice r implique qu’une réaction chimique est impliquée.
L’état des réactifs et des produits (gazeux, liquides ou solides) doit également être indiqué, si les conditions de réaction sont telles qu’elles peuvent exister dans plus d’un état; par exemple:

La différence entre les deux chaleurs de réaction est la chaleur latente de l’eau formée.
Dans les calculs de conception de processus, il est généralement plus pratique d’exprimer la chaleur de réaction en termes de moles de produit produit, pour les conditions dans lesquelles la réaction est effectuée, kJ/mol de produit.
Les chaleurs de réaction standard peuvent être converties en d’autres températures de réaction en effectuant un bilan thermique sur un processus hypothétique, dans lequel les réactifs sont amenés à la température standard, la réaction est effectuée et les produits sont ensuite amenés à la température de réaction requise, comme illustré. dans la figure 3.4.

– DHr,t chaleur de réaction à température t;
DH react: changement d’enthalpie pour amener les réactifs à la température standard;
DH prod: changement d’enthalpie pour amener les produits à la température de réaction, t.

Pour les réacteurs pratiques, où les réactifs et les produits peuvent être à des températures différentes de la température de réaction, il est préférable d’effectuer le bilan thermique sur le réacteur réel en utilisant la température standard (25° C) comme température de référence; la chaleur de réaction standard peut alors être utilisée sans correction.
Il faut souligner qu’il n’est pas nécessaire de corriger une chaleur de réaction à la température de réaction pour une utilisation dans un calcul de bilan thermique de réacteur. Pour ce faire, il faut effectuer deux bilans thermiques, alors qu’avec un choix de référence adapté, un seul doit être
fait. Pour un réacteur pratique, la chaleur ajoutée (ou retirée) Qp pour maintenir la température de calcul du réacteur sera donnée par (à partir de l’équation 3.10):

où:
Hproduits est le la totale enthalpie des flux de produits, y compris les matériaux n’ayant pas réagi et sous-produits, évalués à partir d’une température de référence de 25°C;
Hréactifs est l’enthalpie totale des flux d’alimentation, y compris l’excès de réactifs et inertes, évalués à partir d’une donnée de 25°C;
Qr est la chaleur totale générée par les réactions en cours, évaluée à partir de chaleurs standard de réaction à 25°C (298K).

où – DH°r est la chaleur de réaction standard par mole du produit spécifié.
Noter: Un signe négatif est nécessaire dans l’équation 3.24 car Qr est positive lorsque la chaleur est dégagée par la réaction, alors que le changement d’enthalpie standard sera négatif pour les réactions exothermiques.
Qp sera négatif lorsqu’un refroidissement est nécessaire (voir la section 3.4).
3.10.1. Effet de la pression sur les chaleurs de réaction
L’équation 3.22 peut être écrite sous une forme plus générale:

Si l’effet de la pression est susceptible d’être significatif, le changement d’enthalpie des produits et des réactifs, par rapport aux conditions standard, peut être évalué pour inclure à la fois les effets de la température et de la pression (par exemple, en utilisant des valeurs d’enthalpie tabulées) et la correction effectuée de manière similaire à celle pour la température uniquement.
Exemple 3.7
Illustre le calcul manuel du bilan thermique d’un réacteur.
Le chlorure de vinyle (VC) est fabriqué par pyrolyse du 1,2-dichloroéthane (DCE). La réaction est endothermique. Les débits pour produire 5000 kg/h à 55% de conversion sont indiqués dans le diagramme (voir exemple 2.13).
Le réacteur est un réacteur tubulaire chauffé au gaz combustible, valeur calorifique brute 33,5MJ/m3.
Estimez la quantité de gaz combustible requise.

Solution:

La faible quantité d’impuretés, inférieure à 1%, qui serait présente dans la charge a été négligée aux fins de cet exemple. De plus, la sélectivité pour VC a été prise comme 100%.
Ce serait de l’ordre de 99% à 55% de conversion.
Données de capacité thermique, pour la phase vapeur:

pour phase liquide: DCE à 20°C, C p = 116 kJ/kmol.K, pris comme constante au cours de l’augmentation de température de 20 à 25°C.
Chaleur latente de vaporisation du DCE à 25°C = 34,3 MJ kmol. À une pression de 2 bar, le changement de Cp avec la pression sera faible et sera négligée. Prendre la température de base à 25°C (298K), l’état standard pour DHr.
Enthalpie des aliments = 145,5 . 116 . (293- 298) = – 84 390 J/h = – 84,4MJ/h




3.11. CHALEURS STANDARD DE FORMATION
L’enthalpie standard de formation DH°f d’un composé est définie comme le changement d’enthalpie lorsqu’une mole du composé est formée à partir de ses éléments constitutifs à l’état standard. L’enthalpie de formation des éléments est prise égale à zéro. La chaleur standard de toute réaction peut être calculée à partir des chaleurs de formation DHf des produits et réactifs, si celles-ci sont disponibles ou peuvent être estimées. Inversement, les chaleurs de formation d’un composé peuvent être calculées à partir des chaleurs de réaction, pour une utilisation dans le calcul de la chaleur de réaction standard pour d’autres réactions.
La relation entre les chaleurs standard de réaction et de formation est donnée par l’équation 3.26 et illustrée par les exemples 3.8 et 3.9:

Une liste complète des enthalpies de formation est donnée dans l’annexe C et est disponible au format MS Excel dans la référence en ligne à http://books.elsevier.com/companions.
Comme pour les chaleurs de réaction, l’état des matériaux doit être spécifié lors de la citation des chaleurs de formation.
Exemple 3.8
Calculez la chaleur standard de la réaction suivante, compte tenu des enthalpies de formation:
4NH3 (g) + 5O2 (g) = 4NO (g) + 6H2O (g)
Enthalpies standard de formation kJ / mol
NH3 (g): – 46,2
NO (g): +90,3
H2O (g): – 241,6
Solution
Remarque: l’enthalpie de formation d’O2 est nulle.

= (4. 90,3 + 6. (- 241,6)) – (4. (- 46,2))
= – 903,6 kJ / mol
Chaleur de réaction : – DHr = 904 kJ /mol
3.12. CHALEURS DE COMBUSTION
La chaleur de combustion d’un composé DH c est la chaleur de réaction standard pour une combustion complète du composé avec de l’oxygène. Les chaleurs de combustion sont relativement faciles à déterminer expérimentalement. Les chaleurs des autres réactions peuvent être facilement calculées à partir des chaleurs de combustion des réactifs et des produits.
L’expression générale pour le calcul des chaleurs de réaction à partir des chaleurs de combustion est:

(3:27)
Remarque: Les termes produit et réactif sont à l’opposé de celui de l’expression pour le calcul à partir des chaleurs de formation (équation 3.26).
Pour les composés contenant de l’azote, l’azote ne sera pas oxydé de manière significative lors de la combustion et est considéré comme inchangé pour déterminer la chaleur de combustion.
Attention: les chaleurs de combustion sont importantes par rapport aux chaleurs de réaction. N’arrondissez pas les nombres avant la soustraction; arrondissez la différence.
Deux méthodes de calcul des chaleurs de réaction à partir des chaleurs de combustion sont illustrées dans l’exemple 3.9.
Exemple 3.9
Calculez la chaleur de réaction standard pour la réaction suivante: l’hydrogénation du benzène en cyclohexane.

Remarque: contrairement aux chaleurs de formation, l’état standard de l’eau pour les chaleurs de combustion est liquide.
La pression et la température standard sont identiques à 258 °C, 1 atm.
Solution
Méthode 1
En utilisant l’équation plus générale 3.26

l’enthalpie de formation de C6H6 et C6H12 peut être calculée, et à partir de ces valeurs la chaleur de réaction (1).
De la réaction (2)

De réaction (3)

Remarque: l’enthalpie de formation de H2 est nulle.
Méthode 2
En utilisant l’équation 3.27

Chaleur de réaction:

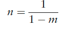
3.13. COMPRESSION ET EXPANSION DES GAZ
Il est peu probable que le terme de travail dans un bilan énergétique soit significative à moins qu’un gaz ne soit détendu ou comprimé dans le cadre du processus. Pour calculer le terme de travail de pression

une relation entre la pression et le volume pendant l’expansion est nécessaire. Si la compression ou la détente est isotherme (à température constante), alors pour l’unité de masse d’un gaz parfait

(3:28)
et le travail effectué:

3:29
où:
P1: pression initiale;
P2: pression finale;
v1: volume initial;
Mw: masse moléculaire (poids) du gaz.
Dans les compresseurs ou extenseurs industriels, le trajet de compression ou de détente sera «polytropique», approché par l’expression (3:30)

Le travail produit (ou requis) est donné par l’expression générale: (3:31)

où:
Z: facteur de compressibilité (1 pour un gaz parfait);
R: constante de gaz universelle, 8: 314 J.K ^-1.mol ^-1;
T1: température d’entrée, K;
W: travail effectué, J/kg.
La valeur de n dépendra de la conception et du fonctionnement de la machine. L’énergie nécessaire pour comprimer un gaz, ou l’énergie obtenue par détente, peut être estimée en calculant le travail idéal et en appliquant une valeur d’efficacité appropriée. Pour les compresseurs à piston, le travail isentropique est normalement utilisé

(voir figure 3.7); et pour les machines centrifuges ou axiales, le travail polytropique (voir Figure 3.6 et Section 3.13.2).
3.13.1. Diagrammes de Mollier
Si un diagramme de Mollier (diagramme enthalpie-pression-température-entropie) est disponible pour le fluide de travail, le travail isentropique peut être facilement calculé.
W = H1 – H2 (3:32)
où H1 est l’enthalpie spécifique à la pression et à la température correspondant au point 1, les conditions initiales du gaz; H2 est l’enthalpie spécifique correspondant au point 2, la condition finale du gaz.
Le point 2 est trouvé à partir du point 1 en traçant un chemin (ligne) d’entropie constante sur le diagramme.
La méthode est illustrée dans l’exemple 3.10.
Exemple 3.10
Le méthane est comprimé de 1 bar et 290K à 10 bar. Si le rendement isentropique est de 0,85, calculez l’énergie nécessaire pour comprimer 10 000 kg / h. Estimez la température du gaz de sortie.
Solution:
À partir du diagramme de Mollier, illustré schématiquement à la figure 3.5:
H1 = 4500 cal = mol;
H2 = 6200 cal = mol (voie isentropique);
Travail isentropique = 6200 – 4500 = 1700 cal / mol



Pour une efficacité isentropique de 0,85:
Travail réel effectué sur le gaz:
1700 / 0,85 = 2000 cal / mol
Donc, enthalpie finale réelle:
H’2 = H1 + 2000 = 6500 cal / mol
D’après le diagramme de Mollier, si tout le travail supplémentaire est considéré comme un travail irréversible effectué sur le gaz, la température du gaz de sortie = 480K
Poids moléculaire du méthane = 16
Énergie requise = (moles par heure). (changement d’enthalpie spécifique)
= (10 000/16). 2000 .1000
= 1,25. 10 ^ 9 cal / h
= 1,25. 10 ^ 9. 4 187 J / h
= 5,23. 10 ^ 9 J / h
Puissance = (5,23. 10 ^ 9) / 3600 = 1,45 MW
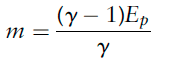
3.13.2. Compression et expansion polytropiques
Si aucun diagramme de Mollier n’est disponible, il est plus difficile d’estimer le travail idéal dans les processus de compression ou d’expansion.
L’équation 3.31 peut être utilisée si la compressibilité Z et le coefficient polytropique n sont connus. La compressibilité peut être tracée par rapport à une température et une pression réduites, comme le montre la figure 3.8.
À des conditions éloignées du point critique:

(3:33)
où:

pour la compression (3:34)

pour l’expansion. (3:35)
Ep est le rendement polytropique, défini par:
pour compression Ep = travail polytropique / travail réel requis
pour l’expansion Ep = travail réel obtenu/ travail polytropique
Une estimation de Ep peut être obtenue à partir de la figure 3.6.
La température de sortie peut être estimée à partir de:

(3:36)
Proche des conditions critiques, ces équations ne doivent pas être utilisées. La procédure de calcul du travail polytropique de compression ou de dilatation près du point critique est plus complexe (Shultz, 1962), et il est plus facile de faire de tels calculs à l’aide de programmes de simulation de processus.
1128 / 5000
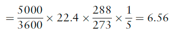
Exemple 3.11 Estimez la puissance nécessaire pour compresser 5000 kmol / h de HCl à 5 bar, 158 ° C, à 15 bar. Solution Pour HCl, Pc = 82 bar, Tc = 324,6K

Estimer T2 à partir des équations 3.34 et 3.35. Pour les gaz diatomiques gamma = 1,4. Remarque: le gamma peut être estimé à partir de la relation

Aux conditions d’entrée, le débit en m3/s

D’après la figure 3.6 Ep = 0,73
À partir des équations 3.34 et 3.35:

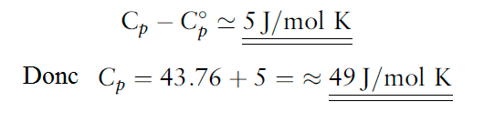
à T (moyenne), C°p = 29,14 kJ/kmol.K. Correction pour l’effet de la pression de la figure 3.2, 2 kJ / kmol K

D’après la figure 3.8, aux conditions moyennes: Z = 0,98
D’après l’équation 3.33:

D’après l’équation 3.31:
W polytropique =

= 3219 kJ/kmol
Travail réel requis= travail polytropique/Ep= 3219/0,73= 4409 kJ/kmol
PUISSANCE REQUISE= 4409. 5000/3600= 6214kW= 6,1 MW
3.13.3. Compresseurs à plusieurs étages Les compresseurs à un étage ne peuvent être utilisés que pour les faibles rapports de pression. À des rapports de pression élevés, l’élévation de température est trop élevée pour un fonctionnement efficace. Pour faire face au besoin de génération de haute pression, la compression est divisée en un certain nombre d’étages séparés, avec des refroidisseurs intermédiaires entre chaque étage. Les pressions entre les étages sont normalement choisies pour donner un travail égal à chaque étape. Pour un compresseur à deux étages, la pression intermédiaire est donnée par:

(3:37)
où Pi est la pression de l’étage intermédiaire.
Exemple 3.12
Estimez la puissance nécessaire pour comprimer 1000m3 = h d’air des conditions ambiantes à une jauge de 700 kN / m2, en utilisant un compresseur à piston à deux étages avec un refroidisseur intermédiaire.
Solution Prendre la pression d’entrée, P1, comme 1 atmosphère = 101,33 kN / m2, absolu. Pression de sortie, P2 = 700 + 101,33 = 801,33kN / m2, absolue.
Pour un travail égal à chaque étape, la pression intermédiaire, Pi:

Pour l’air, prenez le rapport des chaleurs spécifiques, gamma égal à 1,4.
Pour un travail égal à chaque étape, le travail total sera le double de celui de la première étape.

Prenez la température d’entrée à 20 ° C. À cette température, le volume spécifique est donné par:

Travail isentropique effectué:

D’après la figure 3.7, pour un taux de compression de 2,85, le rendement est d’environ 84%. Donc le travail requis:

le débit massique:

la puissance requise est donc:

3.13.4. Entraînements électriques
La puissance électrique nécessaire pour entraîner un compresseur (ou une pompe) peut être calculée à partir d’une connaissance du rendement du moteur:
Puissance =
-W. Débit massique / Ee
(3:38)
où
-W: travail de compression par unité de masse (équation 3.31);
Ee: efficacité du moteur électrique.
L’efficacité du moteur d’entraînement dépendra du type, de la vitesse et de la taille. Les valeurs données dans le tableau 3.1 peuvent être utilisées pour faire une estimation approximative de la puissance requise.
Tableau 3.1. Efficacité approximative des moteurs électriques
| taille (kW) | Efficacité électrique (%) |
| 5 | 80 |
| 15 | 85 |
| 75 | 90 |
| 200 | 92 |
| 750 | 95 |
| >4000 | 97 |
3.14. CALCUL DU BILAN ÉNERGÉTIQUE
Comme pour les bilans de masse, les bilans énergétiques pour les problèmes de conception complexes sont plus faciles à configurer et à résoudre à l’aide d’un logiciel commercial de simulation de procédés, comme décrit au chapitre 4.
Un logiciel de simulation de procédés peut également être utilisé pour aider à créer des bilans énergétiques simples dans des modèles feuilles de calcul, par exemple en entrant des données de flux pour calculer les capacités thermiques du mélange, pour calculer les enthalpies de flux ou pour estimer les chaleurs de réaction.
Lors de la mise en place de modèles de simulation de procédés, l’ingénieur de conception doit porter une attention particulière aux opérations qui ont un impact sur le bilan énergétique et l’utilisation de la chaleur dans le procédé. Certains problèmes courants à surveiller comprennent:
- Évitez de mélanger des flux à des températures très différentes. Cela représente généralement une perte de chaleur (ou d’utilité de refroidissement) qui pourrait être mieux utilisée dans le procédé.
- Évitez de mélanger des flux à des pressions différentes. Le flux mélangé sera à la pression la plus basse des flux d’alimentation. Les courants de pression plus élevée subiront un refroidissement en raison de l’expansion adiabatique. Cela peut entraîner une augmentation des besoins de chauffage ou de refroidissement ou une perte de potentiel de récupération du travail de l’arbre pendant l’expansion.
- Segmentez les échangeurs de chaleur pour éviter les pincements internes. Ceci est particulièrement nécessaire pour les échangeurs où il y a un changement de phase. Lorsqu’un liquide est chauffé, bouilli et surchauffé, la variation de la température du courant avec l’ajout d’enthalpie ressemble à la figure 3.9. Le liquide est chauffé au point d’ébullition (A-B), puis la chaleur de vaporisation est ajoutée (B-C) et la vapeur est surchauffée (C-D).
Il s’agit d’un profil température-enthalpie différent de celui d’une ligne droite entre les états initial et final (A-D). Si le flux de la figure 3.9 était comparé à une source de chaleur qui avait un profil de température comme la ligne EF de la figure 3.10, alors l’échangeur semblerait faisable sur la base des températures d’entrée et de sortie, mais serait en fait irréalisable en raison du croisement du profils de température en B. Un moyen simple d’éviter ce problème est de diviser le préchauffage, l’ébullition et la surchauffe en trois échangeurs dans le modèle de simulation, même s’ils seront réalisés dans un seul équipement dans la conception finale. Le même problème se produit également avec les condenseurs qui incorporent la désurchauffe et le sous-refroidissement. - Vérifiez la chaleur du mélange. Ceci est important chaque fois que des acides ou des bases sont mélangés avec de l’eau. Si la chaleur de mélange est importante, deux étapes ou plus de mélange avec des refroidisseurs intermédiaires peuvent être nécessaires. Si une grande chaleur de mélange est attendue mais n’est pas prévue par le modèle, alors vérifiez que le modèle thermodynamique inclut la chaleur des effets de mélange.
- N’oubliez pas de tenir compte de l’inefficacité des processus et des marges de conception.
Par exemple, lors du dimensionnement d’un appareil de chauffage à combustion, si le chauffage de procédé est effectué uniquement dans la section radiante, alors le service de chauffage calculé dans la simulation n’est que de 60% du service total du four (voir Section 12.17). L’objectif d’exploitation sera alors le besoin du procédé divisé par 0,6. L’objectif de conception doit être encore augmenté par un facteur de conception approprié, disons 10%. L’objectif de conception du chauffe-eau est alors de 1,1 / 0,6 = 1,83 fois l’objectif du procédé calculé dans la simulation.


3.15. BILANS ÉNERGÉTIQUES D’ÉTAT NON STATIONNAIRE
Tous les exemples de bilans énergétiques examinés précédemment concernaient des procédés en régime permanent, où le taux de production ou de consommation d’énergie ne variait pas avec le temps et le terme d’accumulation dans l’équation générale du bilan énergétique était pris égal à zéro.
Si un procédé par lots est envisagé, ou si le taux de production ou d’élimination d’énergie varie avec le temps, il est nécessaire d’établir un bilan énergétique différentiel, similaire au bilan matières différentiel considéré au chapitre 2. Pour les procédés par lots, les besoins énergétiques totaux peuvent généralement être estimés en prenant un seul lot comme base de temps pour le calcul, mais le taux maximal de génération de chaleur doit également être estimé pour dimensionner tout équipement de transfert de chaleur nécessaire.
L’application d’un bilan énergétique différentiel est illustrée dans l’exemple 3.13.
Exemple 3.13
Bilan énergétique différentiel Dans la préparation par lots d’une solution aqueuse, l’eau est d’abord chauffée à 80 ° C dans un récipient à double enveloppe agité; 1000 Imp. fille. (4545 kg) est chauffé à partir de 15 ° C. Si la surface de la chemise est de 300 pi2 (27,9 m2) et que le coefficient de transfert de chaleur global peut être considéré comme 50 Btu ft- 2 h -1 ° F -1 (285 W/m -2 K-1), estimez le temps de chauffage. La vapeur est fournie à 25 psig (2,7 bar). Solution Le taux de transfert de chaleur de la chemise vers l’eau sera donné par l’expression suivante:
(a)

où: dQ est l’incrément de chaleur transférée dans l’intervalle de temps dt; et Uj: le coefficient global de transfert de chaleur;
ts: la température de saturation de la vapeur;
t: la température de l’eau. L’augmentation incrémentielle de la température de l’eau dt est liée à la chaleur transférée dQ par l’équation du bilan énergétique:

(b)
où MCp est la capacité thermique du système.
Égalisons les équations (a) et (b):

En intégrant:

Temps de chauffage par lots:

Pour cet exemple:

Dans cet exemple, la capacité thermique de la cuve et les pertes de chaleur ont été négligées par souci de simplicité. Ils augmenteraient le temps de chauffage de 10 à 20%.
3.16. RÉCUPÉRATION D’ÉNERGIE
Les flux de procédés à haute pression ou température, et ceux contenant des matières combustibles, contiennent de l’énergie qui peut être utilement récupérée. La valeur de l’énergie est liée au coût marginal de l’énergie sur le site, comme discuté dans la section 6.4.4. Il peut être intéressant de récupérer l’énergie d’un flux de procédé sur un site où les coûts énergétiques sont élevés mais pas où les coûts d’énergie primaire sont bas. Le coût de récupération correspondra au coût d’investissement et d’exploitation de tout équipement supplémentaire requis. Si les économies dépassent le coût annualisé total, y compris les charges en capital, la récupération d’énergie en vaudra généralement la peine. Les coûts de maintenance doivent être inclus dans le coût annualisé (voir chapitre 6). Certains procédés, tels que la séparation de l’air, dépendent d’une récupération d’énergie efficace pour un fonctionnement économique, et dans tous les procédés, l’utilisation efficace des techniques de récupération d’énergie réduira le coût du produit.
Certaines des techniques utilisées pour la récupération d’énergie dans les usines de traitement chimique sont décrites brièvement dans les sections suivantes. Les références citées donnent des détails plus complets sur chaque technique. Miller (1968) présente un examen complet des systèmes d’énergie de procédés, y compris l’échange de chaleur et la récupération d’énergie à partir de courants de fluides à haute pression.
Kenney (1984) passe en revue l’application des principes de la thermodynamique à la récupération d’énergie dans les industries de procédés.
3.16.1. Échange de chaleur
La technique de récupération d’énergie la plus courante consiste à utiliser la chaleur d’un flux de procédé à haute température pour chauffer un flux plus froid. Cela permet d’économiser une partie ou la totalité du coût de chauffage du flux froid, ainsi qu’une partie ou la totalité du coût de refroidissement du flux chaud. Des échangeurs conventionnels à calandre et à tube sont normalement utilisés. Le coût de la surface d’échange thermique peut être augmenté, en raison des forces d’entraînement de température réduites, ou diminué, en raison du besoin de moins d’échangeurs. Le coût de la récupération sera réduit si les courants mis en jeu sont situés à proximité.
La quantité d’énergie qui peut être récupérée dépend de la température, du débit, de la capacité calorifique et du changement de température possible dans chaque flux. Une force motrice de température raisonnable doit être maintenue pour garder la surface de l’échangeur à une taille pratique. L’échangeur le plus efficace sera celui dans lequel les flux calandre et tube sont véritablement à contre-courant.
Les échangeurs à tubes multiples sont généralement utilisés pour des raisons pratiques.
Avec plusieurs passages en tubes, l’écoulement est en partie à co-courant et en partie à contre-courant et en température, des croisements peuvent se produire, ce qui réduit l’efficacité de la récupération de chaleur (voir chapitre 12).
Les flux de procédé chauds sortant d’un réacteur ou d’une colonne de distillation sont fréquemment utilisés pour préchauffer les flux d’alimentation (échangeurs «charge-effluent» ou «fonds d’alimentation»en anglais: ‘‘feed-effluent’’ or ‘‘feed-bottoms’’ exchangers ).
Dans un procédé industriel, il y aura de nombreux flux chauds et froids, et il y aura une disposition optimale des flux pour la récupération d’énergie par échange de chaleur. Le problème de la synthèse d’un réseau d’échangeurs de chaleur a fait l’objet de nombreuses recherches et est traité plus en détail dans la section 3.17.
3.16.2. Chaudières à chaleur résiduelle (Waste-Heat Boilers)
Si les flux de procédés sont à une température suffisamment élevée et qu’il n’y a pas d’options intéressantes pour le transfert de chaleur entre opérations, alors la chaleur récupérée peut être utilisée pour générer de la vapeur.
Les chaudières à chaleur résiduelle sont souvent utilisées pour récupérer la chaleur des gaz de combustion des fours et des flux de gaz de procédé des réacteurs à haute température.
La pression et la température de surchauffe du flux généré dépendent de la température du flux chaud et de la température d’approche admissible à la sortie de la chaudière (voir chapitre 12). Comme pour tout équipement de transfert de chaleur, la surface requise augmente à mesure que la force motrice moyenne de température (log moyenne DT) est réduite. La température de sortie admissible peut également être limitée par des considérations de procédé. Si le flux de gaz contient de la vapeur d’eau et des gaz corrosifs solubles, tels que HCl ou SO2, la température du gaz de sortie doit être maintenue au-dessus du point de rosée.
Hinchley (1975) discute de la conception et du fonctionnement des chaudières à chaleur résiduelle pour les usines chimiques. Des chaudières à tube de combustion et à tube d’eau sont utilisées. Un agencement typique d’une chaudière à tubes d’eau sur un four de reformage est illustré à la figure 3.11, et une chaudière à tubes de combustion est illustrée à la figure 3.12.
L’application d’une chaudière à chaleur résiduelle pour récupérer l’énergie des flux de sortie du réacteur dans une usine d’acide nitrique est illustrée à la figure 3.13. Le choix et le fonctionnement des chaudières à chaleur résiduelle pour les fours industriels sont discutés dans l’utilisation efficace de l’énergie, Dryden (1975).
3.16.3. Réacteurs à haute température
Si une réaction est hautement exothermique, un refroidissement sera nécessaire. Si la température du réacteur est suffisamment élevée, la chaleur évacuée peut être utilisée pour générer de la vapeur. La pression de vapeur la plus basse normalement utilisée dans les industries de transformation est de 2,7 bar (25 psig), et la vapeur est normalement distribuée à une pression de collecteur d’environ 8 bar (100 psig); donc tout réacteur avec une température supérieure à 200°C est un générateur de vapeur potentiel.
Trois systèmes sont utilisés:
- Graphique 3.14a. Un agencement similaire à une chaudière à tubes d’eau conventionnelle.
La vapeur est générée dans des tuyaux de refroidissement à l’intérieur du réacteur et séparée dans un tambour à vapeur. - Graphique 3.14b. Similaire au premier arrangement mais avec de l’eau maintenue à haute pression pour empêcher la vaporisation. L’eau à haute pression est transformée en vapeur à une pression plus basse dans un tambour flash. Ce système donnerait un contrôle plus réactif de la température du réacteur.
- Graphique 3.14c. Dans ce système, un fluide caloporteur, tel que Dowtherm [voir Perry et al. (1997) et Singh (1985) pour des détails sur les fluides de transfert de chaleur], est utilisé pour éviter le besoin de tubes à haute pression. La vapeur est montée dans une chaudière externe.
3.16.4. L



3.16.4. Carburants de qualité inférieure
Les déchets de procédé qui contiennent des quantités importantes de matières combustibles peuvent être utilisés comme combustibles de qualité inférieure pour la production de vapeur ou le chauffage direct du procédé. Leur utilisation ne sera économique que si la valeur intrinsèque du combustible justifie le coût des brûleurs spéciaux et autres équipements nécessaires pour brûler les déchets. Si la teneur en combustible des déchets est trop faible pour soutenir la combustion, les déchets doivent être complétés par des combustibles primaires à plus grand pouvoir calorifique.
Les gaz d’échappement des réacteurs (gaz d’évent)
Les gaz d’échappement des réacteurs (gaz d’évent) et les purges des flux de recyclage ont souvent un pouvoir calorifique suffisamment élevé pour être utilisés comme combustibles. Le pouvoir calorifique d’un gaz peut être calculé à partir des chaleurs de combustion de ses constituants; la méthode est illustrée dans l’exemple 3.14.
D’autres facteurs qui, avec le pouvoir calorifique, déterminent la valeur économique d’un gaz d’échappement comme combustible sont la quantité disponible et la continuité de l’approvisionnement.
Les gaz résiduaires sont mieux utilisés pour la production de vapeur, plutôt que pour le chauffage de processus direct, car cela dissocie la source de l’utilisation et donne une plus grande flexibilité.

Exemple 3.14
Calcul de la valeur calorifique des gaz résiduaires;
L’analyse typique des gaz d’évent à partir du courant de recyclage dans un procédé d’oxyhydrochloration pour la production de dichloroéthane (DCE) (brevet britannique BP 1 524 449) est la suivante, en pourcentages sur la base du volume.

Estimez la valeur calorifique du gaz d’évent.
Solution
Valeurs calorifiques des composants, d’après Perry et Chilton (1973):

La valeur du DCE peut être estimée à partir des chaleurs de formation.
Réaction de combustion:

DH ° f de l’annexe D:

Estimation du pouvoir calorifique du gaz d’évent, base de 100 mol.
| Component | mol/100 mol | Calorific value (kJ/mol) | Heating Value |
| CO | 1.79 | 283.0 | 506.6 |
| C2H4 | 1.99 | 1560.9 | 3106.2 |
| C2H6 | 0.1 | 1411.9 | 141.2 |
| DCE | 0.54 | 1084.4 | 585.7 |
| Total | 4339.7 |
Pouvoir calorifique du gaz d’évent

Ce pouvoir calorifique est très faible comparé à 37 MJ / m3 (1000 Btu / pi3) pour le gaz naturel.
Le gaz d’évent vaut à peine la récupération, mais si le gaz doit être brûlé pour éviter la pollution, il pourrait être utilisé dans un incinérateur tel que celui illustré à la figure 3.15, donnant une production de vapeur utile pour compenser le coût de l’élimination.
Déchets liquides et solides
Les déchets liquides et solides combustibles peuvent être éliminés par incinération, ce qui est généralement préféré à l’immersion. L’intégration d’une chaudière à vapeur dans la conception de l’incinérateur permettra une opération autrement improductive, mais nécessaire, pour économiser de l’énergie. Si les produits de combustion sont corrosifs, des matériaux résistants à la corrosion seront nécessaires et les gaz de combustion doivent être épurés pour réduire la pollution de l’air. Un incinérateur conçu pour traiter les déchets chlorés et autres déchets liquides et solides est illustré à la figure 3.15. Cet incinérateur comprend une chaudière à vapeur et un laveur de gaz de combustion. L’élimination des déchets chlorés est discutée par Santoleri (1973).
Dunn et Tomkins (1975) discutent de la conception et du fonctionnement des incinérateurs pour les déchets de procédé. Ils accordent une attention particulière à la nécessité de se conformer à la législation actuelle sur l’air propre et au problème de la corrosion et de l’érosion des réfractaires et des surfaces d’échange thermique.

3.16.5. Flux de processus haute pression
Lorsque les courants de processus gazeux ou liquides à haute pression sont étranglés à des pressions plus basses, l’énergie peut être récupérée en effectuant la détente dans une turbine appropriée.
Flux de gaz
Le fonctionnement économique des procédés qui impliquent la compression et l’expansion de grandes quantités de gaz, tels que la synthèse d’ammoniac, la production d’acide nitrique et la séparation de l’air, dépend de la récupération efficace de l’énergie de compression. L’énergie récupérée par détente est souvent utilisée pour entraîner directement les compresseurs, comme le montre la figure 3.13. Si le gaz contient des composants condensables, il peut être conseillé d’envisager de chauffer le gaz par échange de chaleur avec un flux de procédé à température plus élevée avant l’expansion. Le gaz peut alors être détendu à une pression inférieure sans condensation et la puissance générée augmentée.
Les gaz de procédé n’ont pas besoin d’être à une pression particulièrement élevée pour que l’expansion soit économique si le débit est élevé. Par exemple, Luckenbach (1978) dans le brevet US 4 081 508 décrit un procédé de récupération d’énergie à partir du gaz d’échappement d’un processus de craquage catalytique fluide par détente d’environ 2 à 3 bars (15 à 25 psig) jusqu’à un peu plus de la pression atmosphérique (1,5 à 2 psig).
L’énergie récupérable de l’expansion d’un gaz peut être estimée en supposant une expansion polytropique; voir Section 3.13.2 et Exemple 3.15. La conception des turbodétendeurs pour les industries de transformation est discutée par Bloch et al. (1982).
Exemple 3.15
Considérez l’extraction d’énergie des gaz de fin (queue ou extrémité) d’une tour d’adsorption d’acide nitrique.
Composition du gaz, kmol / h:
O2 371,5
N2 10 014,7
NO 21,9
Trace NO2
H2O saturé à 25 ° C
Si les gaz quittent la tour à 6 atm, 258 ° C, et sont dilatés jusqu’à, disons, 1,5 atm, calculez les températures des gaz de sortie de la turbine sans préchauffage, et si les gaz sont préchauffés à 400 ° C avec les gaz s’échappant du réacteur. Évaluez également la puissance récupérée des gaz préchauffés.
Solution
Pour les besoins de ce calcul, il suffira de considérer le gaz de queue comme entièrement azote, débit 10 410 kmol / h.
Pc = 33,5 atm, Tc = 126,2K
La figure 3.6 peut être utilisée pour estimer le rendement de la turbine. Débit volumétrique du gaz de sortie =

à partir de la figure 3.6 Ep = 0,75

En utilisant les équations 3.33 et 3.35, pour N2 gamma = 1,4

sans préchauffage T2 = 298 K

Cette température serait problématique. L’eau acide se condenserait, endommageant probablement la turbine.
Avec préchauffage:

D’après l’équation 3.31, le travail effectué par le gaz à la suite de l’expansion polytropique est:

= 6718 kJ / kmol
Travail réel = travail polytropique. Ep
= 6718. 0,75 = 5039 kJ / kmol
Puissance de sortie = (travail / kmol). (kmol / s) = 5039. (10 410/3600)
= 14 571 kJ / s = 14,6 MW
Il s’agit d’une quantité d’énergie importante et justifiera probablement le coût de la turbine d’expansion.
Flux liquides.
Comme les liquides sont essentiellement incompressibles, moins d’énergie est stockée dans un liquide comprimé qu’un gaz; cependant, il vaut souvent la peine d’envisager une récupération d’énergie à partir de courants liquides à haute pression (> 15 bar), car l’équipement nécessaire est relativement simple et peu coûteux.
Les pompes centrifuges sont utilisées comme détendeurs et sont souvent couplées directement à d’autres pompes. La conception, le fonctionnement et le coût de la récupération d’énergie à partir de courants liquides à haute pression sont discutés par Jenett (1968), Chada (1984) et Buse (1985).
3.16.6. Pompes à chaleur
Une pompe à chaleur est un dispositif permettant d’élever la chaleur de basse qualité à une température à laquelle la chaleur peut être utilisée. Il pompe la chaleur d’une source à basse température vers le puits à température plus élevée, en utilisant une petite quantité d’énergie par rapport à l’énergie thermique récupérée.
Les pompes à chaleur trouvent de plus en plus d’applications dans les industries de process.
Une application typique est l’utilisation de la chaleur de faible qualité provenant du condenseur d’une colonne de distillation pour fournir de la chaleur au rebouilleur; voir Barnwell et Morris (1982) et Meili (1990). Les pompes à chaleur sont également utilisées avec les séchoirs, la chaleur étant extraite de l’air d’échappement et utilisée pour préchauffer l’air entrant.
Les détails des cycles thermodynamiques utilisés pour les pompes à chaleur se trouvent dans la plupart des manuels sur la thermodynamique technique et dans Reay et MacMichael (1988). Dans les industries de process, des pompes à chaleur fonctionnant selon le cycle de compression mécanique de vapeur sont normalement utilisées. Une pompe à chaleur à compression de vapeur appliquée à une colonne de distillation est illustrée à la figure 3.16a. Le fluide de travail, généralement un réfrigérant commercial, est amené au rebouilleur sous forme de vapeur à haute pression et se condense, cédant de la chaleur pour vaporiser le fluide de procédé. Le réfrigérant liquide provenant du rebouilleur est ensuite détendu sur un papillon des gaz, et la vapeur humide résultante est acheminée vers le condenseur de la colonne. Dans le condenseur, le réfrigérant humide est séché, en prenant la chaleur de la vapeur de processus de condensation. La vapeur de réfrigérant est ensuite comprimée et recyclée vers le rebouilleur, terminant le cycle de travail.
Si les conditions le permettent, le fluide de process peut être utilisé comme fluide de travail pour la pompe à chaleur. Cette disposition est illustrée à la figure 3.16b. Le liquide de procédé chaud à haute pression est détendu au-dessus de la valeur d’étranglement et alimenté le condenseur, pour fournir un refroidissement pour condenser la vapeur de la colonne. La vapeur du condenseur est comprimée et renvoyée à la base de la colonne. Dans une variante d’agencement, la vapeur de traitement est prélevée du haut de la colonne, comprimée et envoyée au rebouilleur pour assurer le chauffage.
Le «rendement» d’une pompe à chaleur est mesuré par le coefficient de performance,
COP:

(3:39)
Le COP dépend principalement des températures de travail. Les pompes à chaleur sont plus efficaces (COP plus élevé) lorsqu’elles fonctionnent sur une plage de température étroite. Ils sont ainsi le plus souvent rencontrés sur des colonnes de distillation séparant les composés à point d’ébullition proche. Notez que le COP d’une pompe à chaleur n’est pas le même que le COP d’un cycle de réfrigération (section 6.4.4).
Les aspects économiques de l’application des pompes à chaleur dans les industries de transformation sont discutés par Holland et Devotta (1986). Des détails sur l’application des pompes à chaleur dans un large éventail d’industries sont donnés par Moser et Schnitzer (1985).

3.17. RÉSEAUX D’ÉCHANGEURS DE CHALEUR
La conception d’un réseau d’échange de chaleur pour un procédé simple avec seulement un ou deux flux nécessitant un chauffage et un refroidissement est généralement simple. Lorsqu’il y a plusieurs flux chauds et froids, la conception est plus complexe et il peut y avoir de nombreux réseaux d’échange de chaleur possibles. L’ingénieur concepteur doit déterminer le degré optimal de récupération de chaleur, tout en s’assurant que la conception est flexible aux changements des conditions de procédé et peut être démarrée et utilisée facilement et en toute sécurité.
Dans les années 80, de nombreuses recherches ont été menées sur les méthodes de conception des réseaux d’échangeurs de chaleur; voir Gundersen et Naess (1988). L’une des méthodes les plus largement appliquées qui a émergé était un ensemble de techniques appelées technologie de pincement (pinch technology), développées par Bodo Linnhoff et ses collaborateurs à ICI, Union Carbide et l’Université de Manchester. Le terme dérive du fait que dans un graphique (températures du système- chaleur transférée), un pincement se produit généralement entre les courbes du courant chaud et du courant froid; voir la figure 3.22. Il a été démontré que le pincement représente une rupture thermodynamique distincte dans le système et que, pour des besoins énergétiques minimaux, la chaleur ne doit pas être transférée à travers le pincement (Linnhoff et al., 1982).
Dans cette section, les principes fondamentaux de la méthode de la technologie du pincement pour l’intégration énergétique seront décrits et illustrés en référence à un problème simple. La méthode et ses applications sont décrites en détail dans un guide publié par l’Institution of Chemical Engineers, IChemE (1994); , Kemp (2007); voir également Douglas (1988), Smith (2016) and El-Halwagi (2006);
3.17.1. Technologie Pinch
Le développement et l’application de la méthode peuvent être illustrés en considérant le problème de la récupération de chaleur entre quatre flux d’un procédé: deux flux chauds qui nécessitent un refroidissement et deux flux froids qui doivent être chauffés. Les données pour les flux sont présentées dans le tableau 3.2. Chaque flux part d’une température source, Ts, et doit être chauffé ou refroidi à une température cible, Tt (t pour target). Le débit de capacité thermique de chaque flux est indiqué en CP. Pour les flux où la capacité calorifique spécifique peut être considérée comme constante, et il n’y a pas de changement de phase, CP sera donné par
CP = m.Cp (3:40)
où:
m: débit massique, kg / s;
Cp: capacité calorifique spécifique moyenne entre Ts et Tt, kJ kg-1.C° -1.
La charge thermique indiquée dans le tableau est la chaleur totale requise pour chauffer ou refroidir le flux de la source à la température cible.
Il existe clairement une marge d’intégration énergétique entre ces quatre flux. Deux nécessitent du chauffage et deux nécessitent un refroidissement; et les températures du courant sont telles que la chaleur peut être transférée des courants chauds aux courants froids. La tâche consiste à trouver la meilleure disposition des échangeurs de chaleur pour atteindre les températures cibles.
Problème simple à deux flux
Avant d’étudier l’intégration énergétique des quatre flux présentés dans le tableau 3.2, nous illustrerons l’utilisation d’un diagramme température-enthalpie pour un problème simple impliquant seulement deux flux.
Le problème général du chauffage et du refroidissement de deux courants de la source aux températures cibles est illustré à la figure 3.17. Un peu de chaleur est échangée
entre les flux dans l’échangeur de chaleur. La chaleur supplémentaire, pour élever le courant froid à la température cible, est fournie par l’utilitaire chaud (généralement de la vapeur) dans le réchauffeur; et un refroidissement supplémentaire pour amener le courant chaud à sa température cible, par l’utilitaire froid (généralement de l’eau de refroidissement) dans le refroidisseur.
Sur la figure 3.18a, les températures des flux sont représentées sur l’axe des y et le changement d’enthalpie dans chaque flux sur l’axe des x. C’est ce qu’on appelle un diagramme température-enthalpie (T-H). Pour que la chaleur soit échangée, une différence de température minimale doit être maintenue entre les deux flux. Ceci est indiqué comme DTmin sur le diagramme. La différence de température minimale pratique dans un échangeur de chaleur sera généralement comprise entre 5 et 308 ° C; voir le chapitre 12.
La pente des droites dans le tracé T-H est proportionnelle à 1 / CP, puisque DH ¼ CP DT, donc dT / dH ¼ 1 / CP. Les cours d’eau avec un débit de faible capacité thermique ont donc des pentes raides dans le tracé T-H, et les cours d’eau avec un débit de capacité thermique élevé ont des pentes peu profondes.
La chaleur transférée entre les flux est donnée par la plage d’enthalpie sur laquelle les deux courbes se chevauchent, et est représentée sur le diagramme comme DHex. La chaleur transférée de l’utilité chaude, DHhot, est donnée par la partie du flux froid qui n’est pas recouverte par le flux chaud. La chaleur transférée à l’utilitaire froid, DHcold, est également donnée par la partie du flux chaud qui n’est pas recouverte par le flux froid. Les chaleurs peuvent également être calculées comme
H ¼ CP (changement de température)

Puisque nous ne nous intéressons qu’aux changements d’enthalpie, nous pouvons traiter l’axe d’enthalpie comme une échelle relative et faire glisser horizontalement le courant chaud ou le courant froid.
Ce faisant, nous modifions la différence de température minimale entre les flux, DTmin, ainsi que la quantité de chaleur échangée et les quantités d’utilités chaudes et froides requises.
La figure 3.18b montre les mêmes flux tracés avec une valeur inférieure de DTmin. La quantité de chaleur échangée est augmentée et les besoins en services publics ont été réduits.
La force motrice de température pour le transfert de chaleur a également été réduite, de sorte que l’échangeur de chaleur a à la fois un service plus important et une différence de température log-moyenne plus petite.
Ceci conduit à une augmentation de la surface de transfert thermique requise et du coût d’investissement de l’échangeur. L’augmentation du coût en capital est partiellement compensée par les économies de coûts d’investissement dans le radiateur et le refroidisseur, qui deviennent tous deux plus petits, ainsi que par des économies sur les coûts des services publics chauds et froids. En général, il y aura une valeur optimale de DTmin, comme illustré sur la figure 3.19. Cet optimum est généralement plutôt plat sur la plage de 108 ° C à 308 ° C.
La récupération de chaleur maximale possible est atteinte au point où les courbes chaude et froide se touchent sur le graphique T-H, comme illustré à la figure 3.20. À ce stade, la force motrice de température à une extrémité de l’échangeur de chaleur est nulle et une surface d’échange de chaleur infinie est requise, de sorte que la conception n’est pas pratique. On dit que l’échangeur est pincé à l’extrémité où se rencontrent les courbes chaude et froide. Sur la figure 3.20, l’échangeur de chaleur est pincé à l’extrémité froide.
Il n’est pas possible que les courants chaud et froid se croisent, car ce serait une violation de la deuxième loi de la thermodynamique.


Problème à quatre flux
Sur la figure 3.21a, les courants chauds indiqués dans le tableau 3.2 sont représentés sur un diagramme température-enthalpie.

Comme la figure 3.21a montre les changements dans l’enthalpie des courants, peu importe où une courbe particulière est tracée sur l’axe d’enthalpie, tant que la courbe se situe entre les températures correctes. Cela signifie que lorsque plus d’un flux apparaît dans un intervalle de température, les capacités thermiques du flux peuvent être ajoutées pour former une courbe composite, comme le montre la figure 3.21b.
Sur la figure 3.22, la courbe composite pour les courants chauds et la courbe composite pour les courants froids sont tracées avec une différence de température minimale, le déplacement entre les courbes, de 10 ° C. Cela implique que dans l’un quelconque des échangeurs à utiliser dans le réseau, la différence de température entre les flux ne sera pas inférieure à 10 ° C.

En ce qui concerne le problème des deux flux, le chevauchement des courbes composites donne un objectif de récupération de chaleur, et les déplacements des courbes en haut et en bas du diagramme donnent les besoins d’utilité chaud et froid. Ce seront les valeurs minimales nécessaires pour satisfaire les températures cibles. Ce sont des informations précieuses. Il donne au concepteur des valeurs cibles pour les services publics à viser lors de la conception du réseau d’échangeurs. Toute conception peut être comparée aux exigences minimales en matière d’utilité pour vérifier si une amélioration supplémentaire est possible.
Dans la plupart des réseaux d’échangeurs, la différence de température minimale se produira en un seul point. C’est ce qu’on appelle le pincement. Dans le problème considéré, le pincement se produit entre 908 ° C sur la courbe du courant chaud et 808C sur la courbe du courant froid.
Pour les problèmes multifaisceaux, le pincement se produira généralement quelque part au milieu des courbes composites, comme illustré dans la figure 3.22. Le cas où le pincement se produit à la fin de l’une des courbes composites est appelé un problème de seuil et est discuté dans la section 3.17.5.
Signification thermodynamique du pincement
Le pincement divise le système en deux régions thermodynamiques distinctes. La région au-dessus du pincement peut être considérée comme un dissipateur de chaleur, avec de la chaleur qui y circule, provenant de l’utilitaire chaud, mais aucune chaleur ne s’en écoule. En dessous de la pincée, l’inverse est vrai. La chaleur s’écoule de la région vers le service public de froid. Aucune chaleur ne circule à travers le pincement, comme le montre la figure 3.23a.
Si un réseau est conçu dans lequel la chaleur est transférée de tout flux chaud à une température supérieure à la pincée (y compris les services publics chauds) à tout flux froid à une température inférieure à la pincée (y compris les services publics froids), la chaleur est transférée à travers la pincée. Si la quantité de chaleur transférée à travers le pincement est DHxp, alors afin de maintenir l’équilibre énergétique, l’utilité chaude et l’utilité froide doivent toutes deux être augmentées de DHxp, comme le montre la figure 3.23b. Le transfert de chaleur par pincement croisé conduit donc toujours à une consommation des utilités chaudes et froides qui est supérieure aux valeurs minimales qui pourraient être atteintes.
La décomposition par pincement est très utile dans la conception de réseaux d’échangeurs de chaleur, car elle décompose le problème en deux problèmes plus petits. Il indique également la région où les correspondances de transfert de chaleur sont les plus contraintes, au niveau du pincement ou près de celui-ci. Lorsque plusieurs utilitaires chauds ou froids sont utilisés, il peut y avoir d’autres pincements, appelés pincements utilitaires, qui causent davantage de problèmes de décomposition. La décomposition des problèmes peut être exploitée dans des algorithmes de synthèse automatique de réseaux d’échangeurs de chaleur.

3.17.2. La méthode de la table des problèmes
Le tableau des problèmes est une méthode numérique pour déterminer les températures de pincement et les exigences minimales d’utilité, introduite par Linnhoff et Flower (1978). Il élimine l’esquisse des courbes composites, ce qui peut être utile si le problème est résolu manuellement. Il n’est plus largement utilisé dans la pratique industrielle, en raison de la grande disponibilité d’outils informatiques pour l’analyse des pincements (voir section 3.17.7).
La procédure est la suivante:
- Convertissez les températures réelles du flux, Tact, en températures d’intervalle, Tint, en soustrayant la moitié de la différence de température minimale des températures du flux chaud et en ajoutant la moitié aux températures du flux froid:

L’utilisation de la température d’intervalle plutôt que des températures réelles permet de prendre en compte la différence de température minimale. DTmin ¼ 10 C pour le problème considéré; voir le tableau 3.3.
- Notez toutes les températures d’intervalle dupliquées. Celles-ci sont entre crochets dans le tableau 3.3.
- Classez les températures d’intervalle par ordre de grandeur, en affichant les températures dupliquées une seule fois dans l’ordre; voir le tableau 3.4.
- Effectuez un bilan thermique pour les flux entrant dans chaque intervalle de température.
Pour le nième intervalle:

où
DHn ¼ de chaleur nette requise dans le nième intervalle;
SCPc ¼ somme des capacités calorifiques de tous les courants froids du
intervalle;
SCPh ¼ somme des capacités thermiques de tous les flux chauds de l’intervalle;
DTn ¼ de différence de température d’intervalle ¼ (Tn 1 Tn).
Voir le tableau 3.5.
- «Cascade» le surplus de chaleur d’un intervalle à l’autre
colonne des températures d’intervalle; voir la figure 3.24a.
La cascade de chaleur d’un intervalle à l’autre implique que le
la différence de température est telle que la chaleur peut être transférée entre les flux chaud et froid. La présence d’une valeur négative
dans la colonne indique que le gradient de température est dans le mauvais sens et que l’échange n’est pas thermodynamiquement possible.
Cette difficulté peut être surmontée si de la chaleur est introduite dans le haut du
Cascade. - Introduisez juste assez de chaleur au sommet de la cascade pour éliminer tout
les valeurs négatives; voir la figure 3.24b.
La comparaison de la courbe composite de la figure 3.22 avec la figure 3.24b montre que la chaleur introduite dans la cascade est l’exigence minimale de l’utilité chaude et que la chaleur évacuée en bas est l’utilité froide minimale requise. Le pincement se produit sur la figure 3.24b où le flux de chaleur dans la cascade est nul. C’est comme on pouvait s’y attendre d’après la règle selon laquelle, pour les exigences minimales des services publics, aucune chaleur ne circule à travers le pincement. Sur la figure 3.24b, le pincement est à une température d’intervalle de 858 ° C, correspondant à une température de courant froid de 808 ° C et une température de courant chaud de 908 ° C, comme cela a été trouvé en utilisant les courbes composites.
Il n’est pas nécessaire d’établir un schéma de cascade séparé. Cela a été fait dans la figure 3.24 pour illustrer le principe. Les valeurs en cascade peuvent être ajoutées à la table des problèmes sous forme de deux colonnes supplémentaires; voir l’exemple 3.16.
Résumé
Pour une récupération maximale de la chaleur et une utilisation minimale des services publics:
- Ne transférez pas de chaleur à travers le pincement.
- N’utilisez pas d’utilitaires chauds en dessous du pincement.
- N’utilisez pas d’utilitaires froids au-dessus du pincement.



3.17.3. Conception de réseau d’échangeurs de chaleur
Représentation de la grille
Il est pratique de représenter un réseau d’échangeurs de chaleur sous forme de grille; voir la figure 3.25. Les flux de processus sont dessinés sous forme de lignes horizontales, avec les numéros de flux affichés dans des cases carrées. Les flux chauds sont dessinés en haut de la grille et s’écoulent de gauche à droite.
Les courants froids sont tirés en bas et coulent de droite à gauche.
Les capacités calorifiques du flux CP sont indiquées dans une colonne à l’extrémité des lignes de flux.
Les échangeurs de chaleur sont dessinés sous la forme de deux cercles reliés par une ligne verticale.
Les cercles relient les deux flux entre lesquels la chaleur est échangée, c’est-à-dire les flux qui traverseraient l’échangeur proprement dit. Les radiateurs et les refroidisseurs peuvent être dessinés en un seul cercle, connectés à l’utilitaire approprié. Si plusieurs utilitaires sont utilisés, ils peuvent également être affichés sous forme de flux. Les fonctions de l’échangeur sont généralement indiquées sous l’échangeur et les températures sont également parfois indiquées sur le schéma du réseau.
Conception de réseau pour une récupération d’énergie maximale
L’analyse effectuée sur les figures 3.22 et 3.24 a montré que les exigences minimales des services publics pour le problème décrit dans le tableau 3.2 sont de 50 kW du réseau chaud et 30 kW du réseau froid, et que le pincement se produit là où les courants froids sont à 80 ° C. et les courants chauds sont à 90 ° C.
La représentation en grille des flux est illustrée à la figure 3.26. Les lignes pointillées verticales représentent le pincement et séparent la grille dans les régions au-dessus et au-dessous du pincement. Notez que les flux chauds et froids sont décalés au pincement en raison de la différence de température de pincement.


Pour une récupération d’énergie maximale (consommation électrique minimale), les meilleures performances sont obtenues si aucun refroidissement n’est utilisé au-dessus du pincement.
Cela signifie que les flux chauds au-dessus du pincement doivent être amenés à la température de pincement uniquement par échange avec les flux froids. La conception du réseau est donc lancée à la rigueur, trouvant des correspondances possibles entre les flux pour atteindre cet objectif. En faisant une allumette adjacente au pincement, la capacité calorifique CP du flux chaud doit être égale ou inférieure à celle du flux froid. Ceci permet de garantir que la différence de température minimale entre les courbes est maintenue. La pente d’une droite sur le diagramme température-enthalpie est égale à l’inverse de la capacité calorifique. Ainsi, au-dessus du pincement, les lignes convergeront si CPhot dépasse CPcold et comme les flux commencent avec une séparation au pincement égale à DTmin, la condition de température minimale serait violée. Chaque jet chaud doit être associé à un jet froid immédiatement au-dessus de la pincée; sinon, il ne pourra pas atteindre la température de pincement.
En dessous du pincement, la procédure est la même, le but étant d’amener les flux froids à la température de pincement par échange avec les flux chauds. Pour les flux adjacents au pincement, le critère de correspondance des flux est que la capacité thermique du flux froid doit être égale ou supérieure au flux chaud, pour éviter de rompre la condition de différence de température minimale. Chaque jet froid doit être associé à un jet chaud immédiatement en dessous du pincement.
Conception de réseau au-dessus du pincement
CPh =< CPc
- En appliquant cette condition à la rigueur, le flux 1 peut être associé à
flux 4, mais pas avec 3.
Faire correspondre les flux 1 et 4 et transférer la quantité totale de chaleur nécessaire pour amener le flux 1 à la température de pincement donne
DHex = CP (Ts – Tpinch)
DHex = 3.0 (180 – 90) = 270 kW
Cela satisfera également la charge thermique nécessaire pour amener le flux 4 à son température cible:
DHex = 4: 5 (140 80) = 270 kW
- Le flux 2 peut être associé au flux 3, tout en satisfaisant la chaleur
restriction de capacité.
Transférer la quantité totale pour amener le flux 2 à la température de pincement:
DHex = 1: 0 (150 90) = 60 kW - La chaleur nécessaire pour amener le flux 3 à sa température cible, de
la température de pincement est
DH = 2: 0 (135 80) = 110 kW
Ainsi, un appareil de chauffage devra être inclus pour fournir la charge thermique restante:
DHhot = 110 60 = 50 kW
Ceci vérifie avec la valeur donnée par le tableau des problèmes, Figure 3.24b.
La conception de réseau proposée au-dessus du pincement est illustrée à la figure 3.27.
Conception de réseau sous le pincement
CPh >= CPc - Le flux 4 commence à la température de pincement, Ts ¼ 80 C, et ne l’est donc pas disponible pour tous les matchs en dessous de la pincée.
- Une correspondance entre les flux 1 et 3 adjacents au pincement satisfera la restriction de capacité thermique mais pas une entre les flux 2 et 3. Ainsi, 1 correspond à 3, transférant la quantité totale pour amener le flux 1 à sa température cible:
DHex = 3: 0 (90 60) = 90 kW - Le flux 3 nécessite plus de chaleur pour l’amener à la température de pincement;montant nécessaire:
DH = 2: 0 (80 20) 90 = 30 kW

Cela peut être fourni à partir du flux 2, car le match est maintenant loin du pincement.
L’élévation de température du flux 3 sera donnée par: DT ¼ DH = CP
Ainsi, le transfert de 30 kW augmentera la température de la température de la source à
20 þ 30 = 2: 0 ¼ 35 C
et cela donne une différence de température du courant du côté sortie de l’échangeur de
90 35 ¼ 55 C
Ainsi, la condition de différence de température minimale, 108 ° C, ne sera pas violée par cette correspondance.
- Le flux 2 a besoin d’un refroidissement supplémentaire pour l’amener à sa température cible, donc un refroidisseur doit être inclus; refroidissement requis:
DHcold ¼ 1: 0 (90 30) 30 ¼ 30kW
Il s’agit de la quantité d’utilité froide prévue par la table des problèmes.
Le réseau proposé pour une récupération d’énergie maximale est indiqué dans Graphique 3.28.
Fractionnement de flux
Si les capacités thermiques des flux sont telles qu’il n’est pas possible de faire une correspondance à la pincée sans violer la condition de différence de température minimale, alors la capacité thermique peut être modifiée en divisant un flux. La division du flux réduira les débits massiques dans chaque tronçon et donc les capacités thermiques. Ceci est illustré dans l’exemple 3.16.

De même, s’il n’y a pas assez de flux disponibles pour faire toutes les correspondances requises à la rigueur, alors les flux avec un grand CP peuvent être divisés pour augmenter le nombre de flux.
Les règles de guidage pour l’appariement et la division des flux sont données dans l’Institution of Chemical Engineers Guide, IChemE (1994) et par Smith (2005).
Résumé
Les règles de base pour concevoir un réseau pour une récupération maximale de la chaleur sont
donnée ci-après:
- Divisez le problème à la rigueur.
- Concevez loin du pincement.
- Au-dessus du pincement, des jets de correspondance adjacents au pincement, rencontrant le
restriction:
CPh # CPc - Sous le pincement, les flux de correspondance adjacents au pincement respectent la restriction:
CPh $ CPc - Si les critères de correspondance de flux ne peuvent pas être satisfaits, divisez un flux.
- Maximisez les charges thermiques de l’échangeur.
- Fournissez le chauffage externe uniquement au-dessus du pincement et le refroidissement externe uniquement en dessous du pincement.
3.17.4. Nombre minimum d’échangeurs
Le réseau illustré à la figure 3.28 a été conçu pour permettre la récupération maximale de la chaleur et donnera donc la consommation et le coût minimum des services publics chauds et froids.
Ce ne sera pas nécessairement la conception optimale du réseau. La conception optimale sera celle qui donne le coût annualisé total le plus bas, compte tenu du coût en capital du système, en plus de l’utilité et des autres coûts d’exploitation. Le nombre d’échangeurs du réseau et leur taille détermineront le coût en capital.
Sur la figure 3.28, il est clair qu’il est possible de réduire le nombre d’échangeurs.
L’échangeur de 30 kW entre les flux 2 et 3 peut être supprimé et les charges thermiques du refroidisseur et du réchauffeur augmentées pour amener les flux 2 et 3 à leurs températures cibles.
La chaleur traverserait le pincement et la consommation des services publics serait augmentée.
Si le réseau révisé serait meilleur ou plus économique,
dépend du coût relatif du capital et des services publics et de l’opérabilité de chaque conception. Pour tout réseau, il y aura une conception optimale qui donne le moindre coût annuel: charges en capital plus les services publics et autres coûts d’exploitation. L’estimation des coûts d’investissement et d’exploitation est traitée au chapitre 6.
Pour trouver la conception optimale, il est nécessaire de chiffrer un certain nombre de conceptions alternatives, en recherchant un compromis entre les coûts d’investissement, déterminés par le nombre et la taille des échangeurs, et les coûts d’utilité, déterminés par la récupération de chaleur obtenue.
Pour les réseaux simples, Holmann (1971) a montré que le nombre minimum d’échangeurs est donné par
Zmin = N0 1 (3:41)
où
Zmin ¼ nombre minimum d’échangeurs nécessaires, y compris les radiateurs et les refroidisseurs;
N ’¼ du nombre de flux, y compris les utilitaires.
Pour les réseaux complexes, une expression plus générale est nécessaire pour déterminer le
nombre minimum d’échangeurs:
Zmin ¼ N0 þ L0 S (3:42)
où:
L ’: le nombre de boucles internes présentes dans le réseau;
S: le nombre de branches indépendantes (sous-ensembles) qui existent dans le
réseau.
Une boucle existe dans laquelle un chemin fermé peut être tracé à travers le réseau.
Il y a une boucle dans le réseau illustré à la figure 3.28. La boucle est représentée seule sur la figure 3.29.
La présence d’une boucle indique qu’il est possible de réduire le nombre d’échangeurs.
Pour une discussion complète de l’équation 3.42 et de ses applications, voir Linnhoff et al. (1979), IChemE (1994) et Smith (2005).
En résumé, rechercher la conception optimale d’un réseau
- Commencez par la conception pour une récupération maximale de la chaleur. Le nombre d’échangeurs nécessaires sera égal ou inférieur au nombre pour une récupération d’énergie maximale.
- Identifiez les boucles qui traversent le pincement. La conception pour une récupération maximale de la chaleur contiendra généralement des boucles.
- En commençant par la boucle avec la moindre charge thermique, coupez les boucles en ajoutant ou en soustrayant de la chaleur.
- Vérifiez que la différence de température minimale spécifiée DTmin n’a pas été violée. Si la violation est importante, modifiez la conception si nécessaire pour restaurer DTmin. Si la violation est faible, elle peut ne pas avoir beaucoup d’impact sur le coût annualisé total et peut être ignorée.
- Estimer les coûts d’immobilisation et d’exploitation et le coût annuel total.
- Répétez la rupture de boucle et la révision du réseau pour trouver la conception la moins chère.
- Tenez compte des aspects de sécurité, de fonctionnement et d’entretien de la conception proposée.

3.17.5. Problèmes de seuil
Les problèmes qui montrent la caractéristique de ne nécessiter qu’un service public chaud ou un service public froid (mais pas les deux) sur une plage de différences de température minimales, de zéro à une valeur seuil, sont appelés problèmes de seuil. Un problème de seuil est illustré à la figure 3.30.
Pour concevoir le réseau d’échangeurs de chaleur pour un problème de seuil, il est normal de commencer au point le plus contraint. Le problème peut souvent être traité comme la moitié d’un problème présentant un pincement.
Des problèmes de seuil sont souvent rencontrés dans les industries de transformation.
Un pincement peut être introduit dans de tels problèmes si plusieurs utilités sont utilisées, comme dans la récupération de chaleur pour générer de la vapeur, ou si la valeur choisie de DTmin est supérieure à la valeur seuil.
Les procédures à suivre pour la conception des problèmes de seuil sont examinées par Smith (2005) et IChemE (1994).
3.17.6. Intégration de processus: intégration d’autres opérations de processus
La méthode de la technologie Pinch peut donner de nombreuses autres informations sur la synthèse des procédés, au-delà de la conception de réseaux d’échangeurs de chaleur. Le procédé peut également être appliqué à l’intégration d’autres unités de traitement, telles que des colonnes de séparation, des réacteurs, des compresseurs et des détendeurs, des chaudières et des pompes à chaleur. Les applications plus larges de la technologie du pincement sont discutées dans l’Institution of Chemical Engineers Guide, IChemE (1994) et par Smith (2005).
Les techniques d’intégration de processus ont été élargies pour être utilisées dans l’optimisation des opérations de transfert de masse et ont été appliquées à la réduction des déchets, à la conservation de l’eau et au contrôle de la pollution; voir Dunn et El Halwagi (2003).
3.17.7. Outils informatiques pour la conception de réseaux d’échangeurs de chaleur
La plupart des analyses de pincement dans l’industrie sont effectuées à l’aide de pincements commerciaux
logiciel d’analyse.
Des programmes tels que Aspen HX-NetTM (Aspen Technology Inc.), SUPERTARGETTM

(Linnhoff March Ltd.) et UniSim ExchangerNetTM (Honeywell Inc.) permettent à l’ingénieur de conception de tracer des courbes composites, d’optimiser DTmin, de définir des objectifs pour plusieurs services publics et de concevoir le réseau d’échangeurs de chaleur.
La plupart de ces programmes sont capables d’extraire automatiquement des données de flux à partir de programmes de simulation de processus, bien qu’il faille prendre grand soin de vérifier les données extraites.
Il existe de nombreux pièges possibles dans l’extraction des données; par exemple, ne pas reconnaître les changements dans le CP d’un courant ou la vaporisation partielle ou la condensation d’un courant, dont l’un quelconque pourrait conduire à un pli dans le profil T-H du courant. Voir Smith (2005) pour plus d’informations sur l’extraction des données.
Les outils commerciaux de technologie de pincement comprennent également généralement des fonctionnalités de synthèse automatique de réseau d’échangeurs de chaleur. Les méthodes de synthèse automatique sont basées sur l’optimisation MINLP des superstructures des options d’échangeurs possibles (voir le chapitre 1 pour une discussion sur les méthodes MINLP). Ces outils peuvent être utilisés pour arriver à un réseau candidat, mais l’optimisation doit être correctement contrainte afin qu’elle n’introduise pas un grand nombre de fractionnements de flux et ajoute beaucoup de petits échangeurs.
Les concepteurs expérimentés utilisent rarement des méthodes de synthèse automatique de réseaux d’échangeurs de chaleur, car il faut généralement plus d’efforts pour transformer le réseau résultant en quelque chose de pratique qu’il n’en faudrait pour concevoir un réseau pratique manuellement. La capacité d’optimisation NLP du logiciel est cependant largement utilisée pour ajuster les températures du réseau en exploitant les boucles et les rapports de division de flux.
Exemple 3.16
Déterminer les températures de pincement et les exigences minimales d’utilité pour les flux indiqués dans le tableau suivant, pour une différence de température minimale entre les flux de 20 ° C. Concevoir un réseau d’échangeurs de chaleur pour obtenir une récupération d’énergie maximale.

Solution
Le tableau des problèmes pour trouver les exigences minimales en matière d’utilité et la température de pincement peut être intégré dans une feuille de calcul. Les calculs dans chaque cellule sont répétitifs et la formule peut être copiée de cellule en cellule à l’aide des commandes de copie de cellule. Un modèle de feuille de calcul pour l’algorithme de la table des problèmes est disponible au format MS Excel dans le matériel en ligne à l’adresse http://books.elsevier.com/companions. L’utilisation de la feuille de calcul est illustrée à la figure 3.31 et décrite ici.
Calculez d’abord les températures d’intervalle, pour DTmin ¼ 20 C
flux chauds Tint ¼ Tact 10 C
courants froids Teinte ¼ Tact þ 10 C


Dans la feuille de calcul, cela peut être fait en utilisant une fonction IF pour déterminer si la température de la source est supérieure à la température cible, auquel cas le flux est un flux froid et doit avoir DTmin = 2 ajouté.
Ensuite, classez les températures d’intervalle, en ignorant les valeurs dupliquées. Dans la feuille de calcul, cela se fait à l’aide de la fonction LARGE. Déterminez quels flux se produisent dans chaque intervalle. Pour qu’un flux soit présent dans un intervalle donné, la température d’intervalle de flux le plus grand doit être supérieure à l’extrémité inférieure de la plage d’intervalle, et la température d’intervalle de flux la plus basse doit également être supérieure ou égale à l’extrémité inférieure de la plage d’intervalle. Cela peut être calculé dans la feuille de calcul à l’aide des fonctions IF, AND et OR. Une fois que les flux dans chaque intervalle ont été déterminés, il est possible de calculer les capacités thermiques des flux combinés. Ces calculs ne font pas strictement partie du tableau des problèmes, ils ont donc été masqués dans la feuille de calcul (dans les colonnes à droite du tableau).
La somme des valeurs CP pour les flux froids moins celles des flux chauds peut alors être multipliée par DT intervalle pour donner DH intervalle, et les valeurs de DH intervalle peuvent être mises en cascade pour donner le flux thermique global. La quantité de chaleur qui doit être introduite pour éviter que le flux de chaleur ne devienne négatif est la valeur la plus basse de la colonne, qui peut être trouvée à l’aide de la fonction SMALL. La dernière colonne donne alors une cascade ne montrant que des valeurs positives, avec une énergie nulle en cascade à la température de pincement.
Dans la dernière colonne, 2900 kW de chaleur ont été ajoutés pour éliminer les valeurs négatives de la colonne précédente; donc l’exigence d’utilité de chauffage est de 2900kW, et l’exigence d’utilité du refroidissement, la valeur inférieure dans la colonne, est de 600kW.
Le pincement se produit lorsque la chaleur transférée est nulle, c’est-à-dire à l’intervalle numéro 4, température d’intervalle 90°C.
Donc, à la rigueur, les courants chauds seront à:
90 + 10 = 100 °C
et les courants froids seront à:
90 – 10 = 80 °C
Notez que dans le tableau, le flux 1 et le flux 4 avaient une température d’intervalle de 170 °C, ce qui a conduit à une ligne en double dans la liste des températures d’intervalle classées.
Strictement, cette ligne aurait pu être éliminée, mais comme elle a donné une valeur nulle pour le DT, elle n’a pas affecté le calcul. La programmation de la feuille de calcul est beaucoup plus facile si les températures en double sont gérées de cette manière.
Pour concevoir le réseau pour une récupération d’énergie maximale, commencez au pincement et faites correspondre les flux, en suivant les règles sur les capacités thermiques des flux pour les correspondances près du pincement. Lorsqu’un match (correspondance) est fait, transférez le maximum de chaleur.
Le réseau proposé est illustré à la figure 3.32.

La méthodologie suivie pour concevoir ce réseau était la suivante:
Au-dessus du pincement
- CPh <= CPc
- On peut faire correspondre les flux 1 ou 2 au flux 3, mais aucun des flux ne peut correspondre au flux 4. Cela crée un problème, car si nous faisons correspondre le flux 1 avec 3, le flux 2 ne pourra pas faire de correspondance au pincement. De même, si nous faisons correspondre le flux 2 avec 3, le flux 1 ne pourra pas faire de correspondance au pincement.
- Vérifiez la chaleur disponible pour amener les flux chauds à la température de pincement:
flux 1 DH = 40. (180-100) = 3200kW
flux 2 DH = 30. (150- 100) = 1500kW - Vérifiez la chaleur nécessaire pour amener les courants froids de la température de pincement à leurs températures cibles:
flux 3 : DH = 60 . (180- 80) = 6000kW
flux 4 : DH = 20. (160 – 80) = 1600kW - Si nous divisons le flux 3 en deux branches avec un CP de 40,0 et 20,0, alors nous pouvons faire correspondre la plus grande branche avec le flux 1 et transférer 3200kW, ce qui satisfait (boucle) le flux 1.
- Nous avons maintenant deux flux froids, tous deux avec un CP de 20,0 et un flux chaud (2) avec un CP de 30,0. Nous devons diviser le flux 2 en deux branches. Comme première estimation, ceux-ci peuvent tous les deux avoir un CP de 15,0. Nous pouvons alors faire correspondre une branche du flux 2 avec la plus petite branche de 4 et transférer 750kW, et l’autre branche avec le flux 3, également pour 750kW, ce qui se boucle le bilan pour le flux 2.
- Incluez un appareil de chauffage sur la plus petite branche du flux 3 pour fournir l’équilibre de la chaleur requise:
DHhot = 6000 – 3200- 750 =2050kW - Inclure un appareil de chauffage sur le flux 4 pour fournir l’équilibre de la chaleur requise:
DHhot =1600 -750 = 850kW
Vérifier la somme des fonctions du chauffage = 2050 + 850 = 2900kW = cible de l’utilité de chauffage.
Sous le pincement - CPh >= CPc
- Notez que le flux 4 commence à la température de pincement et ne peut donc pas fournir de refroidissement en dessous du pincement.
- Les flux 1 ou 2 ne sont pas compatibles avec le flux 3 au pincement.
- Divisez le flux 3 pour réduire le CP.
- Vérifiez la chaleur disponible pour amener les courants chauds de la température de pincement à leurs températures cibles:
flux 1 DH = 40. (100- 40) = 2400kW
flux 2 DH = 30. (100- 60) = 1200kW - Vérifiez la chaleur nécessaire pour amener les courants froids de leur températures source à la température de pincement: flux 3 DH = 60 . (80 – 30) = 3000kW
le flux 4 est déjà à la température de pincement. - Notez que le flux 1 ne peut pas être amené à sa température cible de 40°C par échange complet avec le flux 3, comme la température source du flux 3 est 30°C, donc DTmin serait violé. Alors transférez 1800kW vers une fraction du flux divisé 3.
- Vérifier la température à la sortie de cet échangeur:
Temp out = 100 – (1800 /40) = 55 °C, satisfaisant. - Fournir un refroidisseur sur le flux 1 pour l’amener à sa température cible, refroidissement nécessaire:
DHcold = 2400 – 1800 = 600kW - Transférer la charge thermique complète du flux 2 au deuxième tronçon du flux 3; cela satisfait les deux flux.
Notez que les charges de chauffage et de refroidissement, 2900kW and 600kW, respectivement, correspondent à celles prédites à partir de la table du problème.
Notez également que pour satisfaire la décomposition au pincement et les règles de compatibilité de flux, nous avons fini par introduire un grand nombre fractionnements de flux. Ceci est assez courant dans le réseau d’échangeurs de chaleur conception. Aucune des trois fractions fractionnées n’a été optimisée, donc des économies substantielles ainsi qu’une simplification du réseau pourraient être possible. Par exemple, des boucles existent entre les branches du flux 3 et du flux 1 et entre les branches du flux 3 et du flux2. Avec les rapports de division actuels, ces boucles ne peuvent pas être éliminées, mais avec d’autres ratios, il pourrait être possible d’éliminer un ou deux échangeurs.
L’introduction de multiples fractionnements de flux est souvent citée comme un inconvénient de la méthode du pincement. Les fractionnements de flux peuvent être problématiques par rapport au fonctionnement du procédé. Par exemple, lorsqu’une huile ou un autre flux multi-composant est chauffé et partiellement vaporisé, alors le flux est un mélange à deux phases. Il est difficile de contrôler la division de tels flux pour donner le débit requis dans chaque branche. Les concepteurs expérimentés contraignent généralement le réseau à éviter au maximum possible plusieurs fractionnements de flux, même si cela conduit à des conceptions dont la consommation d’utilité est supérieure au minimum.
